
Das Titelfoto ist designed von AI von Microsoft
Formel in dieser Arbeit können veraltet sein und werden in Kürze neu untersucht und ggf. neu formuliert.
Symmetriebrechung und magnoneninduzierte Rotationsauslösung:
Eine physikalische Theorie‑Entwicklung zur Struktur des Universums
Neue Kurzbeschreibung von KosMIRO‑Dyn
KosMIRO‑Dyn (Kosmische Magnonen‑induzierte Rotations‑Dynamik) basiert auf einer experimentellen Entdeckung eines zuvor übersehenen Rotationsmechanismus: Magnetische Abstoßung kann unter realen Bedingungen eine stabile Rotation auslösen, wenn die energetisch bevorzugte vertikale Drehneigung durch Gewicht und Geometrie blockiert ist. Die blockierte Drehneigung wird dabei in eine horizontale Rotation umgelenkt — ein universelles, geometrisch erzwungenes Naturgesetz.
Dieser Laborbefund bildet den mechanischen Kern von KosMIRO‑Dyn. Die Theorie überträgt das Prinzip der Umlenkung blockierter Bewegungsfreiheiten auf kosmische Maßstäbe und untersucht, ob ähnliche Mechanismen zur Erklärung großskaliger Rotationsphänomene beitragen können. Magnonen dienen dabei als theoretischer Vermittlungsbegriff für magnetische Wechselwirkungen im kosmischen Raum, stehen jedoch nicht am Anfang der Entdeckung, sondern erweitern sie.
KosMIRO‑Dyn verbindet damit einen reproduzierbaren experimentellen Mechanismus mit einer skalierbaren theoretischen Struktur und stellt einen neuen Ansatz zur Beschreibung von Rotationsdynamik im Universum dar.
Eine kosmische, magnoneninduzierte Rotations‑Dynamik Ein theoretischer Entwicklungsansatz von Elisabeth Becker‑Schmollmann – Forschung und Kunst
Hinweis: Diese Theorie‑Entwicklung wurde seit 2007 kontinuierlich ausgearbeitet. Ihr Schlüsselmoment liegt in einer experimentellen Beobachtung zur Rotationsauslösung in Dipolsystemen. Sie knüpft an aktuelle Diskussionen über bislang ungeklärte dynamische Phänomene im Universum an und stellt die Frage, ob bestimmte großskalige Rotations‑ und Strukturprozesse durch feldbasierte Mechanismen erklärbar sein könnten, die in bisherigen Modellen noch nicht berücksichtigt wurden.

Schematische Darstellung der Magnonen-induzierten Rotations‑ und Polaritätsstruktur, die als Ausgangspunkt der Theorie-Entwicklung dient.
Vorwort
Die gesamte Theorie-Entwicklung baut ausschließlich auf etabliertem Axiomewissen der Physik auf. Es werden keine neuen Teilchen, Felder oder Entitäten eingeführt, um ein in sich geschlossenes Tautologiegebäude zu stützen. Stattdessen wird gezeigt, dass bekannte Dipolwechselwirkungen unter spezifischen geometrischen und energetischen Bedingungen einen bislang übersehenen mechanistischen Effekt hervorbringen: die Umlenkung blockierter radialer Drehneigung in stabile, energieautarke Rotation. Die Theorie bleibt damit vollständig innerhalb des bestehenden physikalischen Rahmens und erweitert ihn lediglich um einen Mechanismus, der experimentell beobachtbar und logisch aus den Axiomen ableitbar ist.
KosMIRO‑Dyn formuliert ein universelles Rotationsprinzip, das aus der feldinduzierten Umlenkung radialsymmetrischer Dipoldynamik hervorgeht. Wird die energetisch bevorzugte radiale Drehneigung eines Dipols durch ein feldabhängiges Blockierungsfenster inhibiert, erfolgt eine zwangsläufige Umlenkung der Bewegungskomponente in den tangentialen Freiheitsgrad. Dieser Mechanismus generiert eine intrinsische, energieautarke Eigenrotation, die im Laborexperiment reproduzierbar ist und sich auf makroskopische sowie kosmologische Skalen übertragen lässt.
Die Theorie identifiziert Achsenneigung, Driftzonen, fraktale Trichterarchitekturen und magnetische Repulsion als fundamentale Strukturprinzipien rotierender Systeme. Sie beschreibt, wie Dipolfäden, frühe Kernbildungsprozesse, galaktische Rotationsprofile und großskalige kosmische Muster aus denselben mikromechanistischen Bedingungen emergieren. Gravitation wirkt in diesem Rahmen sekundär auf die resultierenden Massenverteilungen, während KosMIRO‑Dyn den Ursprung der Rotation selbst mechanistisch erklärt.
Der Artikel stellt die zugrunde liegenden Mechanismen, die mathematische Formulierung, die fraktale Skalierung und die experimentellen Analogien dar. Er präsentiert ein konsistentes, skalierbares Modell kosmischer Dynamik, das nicht im Widerspruch zur etablierten Physik steht, sondern deren Erklärungslücken im Bereich der Rotationsentstehung schließt und um einen magnetisch‑dipolaren Mechanismus erweitert.
Wissenschaftliche Erkenntnis beginnt oft dort, wo bestehende Modelle an ihre Grenzen stoßen. Die vorliegende Theorie-Entwicklung widerspricht den bekannten Naturgesetzen nicht, sondern ergänzt sie um einen Mechanismus, der bisher übersehen wurde, weil er nur unter sehr spezifischen Bedingungen sichtbar wird.
Die Experimente, die ich durchgeführt habe, zeigen ein wiederholbares, stabiles Verhalten, das durch keine der bisher bekannten Formeln beschrieben werden kann.
Ein erster Hinweis darauf, dass ein solcher Mechanismus existieren könnte, findet sich bereits im Universum selbst: Nahezu alle rotierenden Systeme besitzen eine Achsenneigung. Planeten, Monde, Sterne, Pulsare und Galaxien rotieren nicht „gerade“, sondern mit einer systematischen Schrägstellung ihrer Rotationsachsen. Diese Neigungen sind gut dokumentiert, doch ihr Ursprung ist bis heute ungeklärt. Sie werden meist als Zufall, Kollisionsfolgen oder chaotische Anfangsbedingungen beschrieben – ohne mechanistische Begründung.
Die hier vorgestellte Theorie-Entwicklung bietet einen solchen Grund. Sie zeigt, dass Dipolachsenneigungen nicht zufällig sind, sondern eine notwendige Bedingung für stabile Rotation darstellen – sowohl im Kleinen (Experiment) als auch im Großen (Kosmos). Die Dipolachsenneigung erzeugt eine asymmetrische Kraftverteilung, die die radiale Drehneigung des jeweiligen Nachbar-Dipols blockiert und in ein seitliches, tangentiales Drehmoment umlenkt, das eine Rotation um die eigene Achse hervorruft. Genau dieser Mechanismus ist im Experiment sichtbar und lässt sich auf kosmische Strukturen übertragen.
Die dokumentierten Achsenneigungen astronomischer Körper bilden damit nicht nur ein beobachtbares Phänomen, sondern einen Hinweis auf eine tieferliegende Dynamik, die bisher nicht mechanistisch erklärt wurde. Wenn Rotationsachsen im Großen systematisch geneigt sind und Dipolachsen im Kleinen ebenso systematisch auftreten, stellt sich die Frage, ob beide Erscheinungen Ausdruck desselben Prinzips sind – eines Prinzips, das sich über alle Skalen hinweg zeigt.
Der Leser ist eingeladen, die folgenden Überlegungen nicht als fertige Theorie zu betrachten, sondern als mechanistische Beschreibung eines realen Phänomens, das experimentell überprüfbar ist. Die Theorie-Entwicklung baut auf wiederholbaren Beobachtungen auf, nicht auf Spekulation. Sie stellt Fragen, die bisher nicht gestellt wurden, und bietet Antworten, die sich aus den Experimenten logisch ergeben.
Warum „KosMIRO‑Dyn“
Kosmisch – verweist auf die Reichweite des Mechanismus: Er gilt nicht nur im Labor, sondern beschreibt ein universelles Prinzip. Magnonen‑induziert – benennt den aktiven Mechanismus: Dipolsysteme, die, wenn radial‑kreisschließend ausgerichtet, energetisch nicht dürfen, was sie wollen, nämlich sich durch Polsprung in magnetische Anziehung bringen, und folglich den Drehdrang alternativ in horizontale Rotation umlenken. Rotationsdynamik – bezeichnet das beobachtbare Resultat: stabile, energieautarke Rotation durch Feldasymmetrie und Blockierungsfenster. Kurzform – macht die Theorie zitierfähig, merkbar und professionell anschlussfähig.
Der Name funktioniert, weil er präzise, aber nicht sperrig ist, wissenschaftlich anschlussfähig klingt (ähnlich wie QCD, GR, MHD) und die Mechanik in einem einzigen Begriff bündelt. Er ist identitätsstiftend und flexibel erweiterbar (z. B. KosMIRO‑Dyn‑Lab, KosMIRO‑Dyn‑Astro).
Definition von KosMIRO‑Dyn
KosMIRO‑Dyn bezeichnet ein universelles Rotationsprinzip, das entsteht, wenn ein Dipolsystem energetisch nicht darf, was es möchte, weil seine radiale Drehneigung durch ein Blockierungsfenster in ein seitliches, tangentiales Drehmoment umgelenkt wird. Die resultierende Rotation ist stabil, selbstverstärkend und benötigt keine Energiezufuhr für die Rotationsbewegung selbst; lediglich die initiale Annäherung kann extern erfolgen.
Mechanistische Kernelemente
- Dipolare Asymmetrie — Ein statisches, asymmetrisches Feld erzeugt ein energetisches Minimum, das geometrisch nicht erreichbar ist.
- Blockierungsfenster — Die radiale Drehneigung wird durch ein tolerantes, feldabhängiges Fenster blockiert.
- Seitliche Umlenkung — Die blockierte radiale Drehneigung wird in ein tangentiales Drehmoment umgelenkt.
- Selbststabilisierung — Die Rotation erhält sich durch die fortlaufende Interaktion zwischen Dipolorientierung, Feldgradient und Blockierungsfenster selbst.
- Energieautarkie — Die Rotationsenergie entsteht aus der Umlenkungsdynamik selbst.
Systemische Bedeutung
- Universelles Prinzip — KosMIRO‑Dyn beschreibt ein allgemeines Mechanismusgesetz für Rotationen in asymmetrischen Feldstrukturen.
- Attraktor‑/Repeller‑Strukturen — Die Dynamik erzeugt horizontale Attraktoren und radiale Repeller.
- Funktionale Feldflächen — Entscheidend ist die funktionale Interaktion zwischen Dipol, Gradienten und Blockierungsfenster.
- Skalierbarkeit — Der Mechanismus wirkt von mikroskopischen bis kosmischen Systemen.
Einordnung in die bestehende Physik
Die Magnonen‑induzierte Rotationsmechanik beschreibt die Entstehung und fraktale Struktur kosmischer Rotation. Gravitation wirkt anschließend auf die entstandenen Massenverteilungen und formt die großskaligen Strukturen des Universums. Beide Mechanismen ergänzen sich, greifen ineinander und wirken auf unterschiedlichen Ebenen.
KosMIRO‑Dyn ist ein neuartiges, universelles Rotationsprinzip, das aus der Umlenkung blockierter radialer Drehneigung in ein seitliches, tangentiales Drehmoment entsteht. Die Dynamik ist energieautark, feldinduziert und durch ein tolerantes Blockierungsfenster charakterisiert, das radiale Minimierung verhindert und Rotation erzwingt.
Einführung in die hier (hypothetisch) erläuterte vorgeschlagene Rotations-Dynamik des Universums
Im Anschluss an die mechanistische Herleitung des Rotationsprinzips stellt sich die Frage, wie sich dieser Dipolmechanismus auf großskalige kosmologische Beobachtungen übertragen lässt. Die folgenden Abschnitte führen daher in eine hypothetisch erläuterte Dynamik des Universums ein, in der sich die experimentell sichtbaren Mechanismen von KosMIRO‑Dyn in den Strukturen und Entwicklungen des Kosmos widerspiegeln.
In den vergangenen Jahren haben neue Beobachtungen im Bereich der Dunklen Energie die Grundlagen der modernen Kosmologie in Bewegung gebracht. Dunkle Energie macht den größten Anteil der Energiedichte des Universums aus, doch ihr physikalisches Wesen ist bis heute ungeklärt. Lange wurde sie als konstante Hintergrundgröße betrachtet, deren Stärke sich über die Zeit nicht verändert. Jüngere Messungen deuten jedoch darauf hin, dass diese Annahme nicht uneingeschränkt haltbar ist.
Großangelegte Projekte wie das Dark Energy Spectroscopic Instrument (DESI), das die Bewegung von Galaxien über mehr als elf Milliarden Jahre hinweg kartiert hat, liefern Hinweise darauf, dass die der Dunklen Energie zugeschriebene Wirkung nicht vollständig konstant ist. Die Daten lassen sowohl eine mögliche Abschwächung als auch das Wirken einer bislang unbekannten aktiven Kraft zu. Diese Ergebnisse stellen etablierte Modelle infrage und eröffnen Raum für neue mechanistische Ansätze, die großskalige Dynamiken des Universums erklären können.
Parallel dazu rücken gigantische Magnetfelder zunehmend in den Fokus der Forschung. Sie erstrecken sich über Millionen von Lichtjahren und weisen auf großräumige magnetische Strukturen hin, deren Ursprung nicht abschließend verstanden ist. Wo Magnetfelder existieren, sind Dipole denkbar, deren Wechselwirkungen Bewegungen, Driftprozesse und Rotationen beeinflussen können.
Bisher wird überwiegend angenommen, dass Rotationen Magnetfelder erzeugen. Diese Sichtweise prägt auch das verbreitete Modell des „Stabmagneten Erde“, dessen Magnetfeld als Folge der Rotation interpretiert wird. Die hier entwickelte Theorie-Entwicklung stellt diese Perspektive auf den Prüfstand. Sie untersucht die Möglichkeit, dass Magnetfelder nicht die Folge, sondern die Ursache von Rotation sein könnten.
Damit rückt ein Mechanismus in den Mittelpunkt, der im Experiment sichtbar wird: Dipole, die sich energetisch in eine bevorzugte Ausrichtung bringen möchten, werden durch Achsenneigung, Feldasymmetrie und geometrische Blockierung daran gehindert, ihre radiale Drehneigung auszuschöpfen. Die direkte Minimierung entlang der energetisch bevorzugten Richtung ist nicht möglich. Stattdessen entsteht ein seitliches, tangentiales Drehmoment, das eine Rotation um die eigene Achse hervorruft.
Dieser Mechanismus ist skalierbar und unabhängig von Größe, Material oder Umgebung. Er kann sowohl mikroskopische Dipole als auch planetare, stellare und galaktische Strukturen betreffen. Die beobachteten Achsenneigungen astronomischer Körper lassen sich in diesem Rahmen als Ausdruck derselben Umlenkungsdynamik verstehen, die im Experiment sichtbar wird. Rotation erscheint damit nicht als Zufallsprodukt oder als Folge chaotischer Anfangsbedingungen, sondern als notwendiges Resultat einer blockierten energetischen Minimierungsbewegung.
Die Theorie erweitert diesen Ansatz um die Betrachtung fraktaler, magnongestützter Strukturen, die sich auf allen Skalen des Universums ausprägen können. Sie beschreibt, wie kollektive Präzessionsbewegungen magnetischer Momente zu hierarchischen Trichter‑in‑Kugel‑Systemen führen können, deren Dynamik sowohl lokale als auch kosmische Prozesse prägt. Diese Strukturen bilden die Grundlage für ein zyklisches Universumsmodell, in dem Phasen von Implosion und Expansion einander abwechseln.
Im Rahmen dieses Modells wird die Endphase eines Universums als Zustand maximaler Ordnung beschrieben, in dem die Teilchen in einem Magnonen‑Bose‑Einstein‑Kondensat entlang der inneren Oberfläche einer sphärischen Raumstruktur verharren. Eine Störung dieses Zustands führt zur Auflösung des Kondensats und leitet eine kugelradiale Implosionsphase ein. Die dabei entstehenden fraktalen, rotierenden Strukturen erzeugen einen zunehmenden Druck, der schließlich in einem zentralen Kollapsmoment kulminiert. An diesem Punkt maximaler Kompression kehrt sich die Bewegungsrichtung um, und eine neue Expansionsphase beginnt.
Die folgenden Kapitel erläutern diese Dynamik Schritt für Schritt. Sie zeigen, wie aus blockierter radialer Drehneigung seitliche Drehmomente entstehen, wie sich daraus stabile Rotationen entwickeln, wie fraktale Strukturen gebildet werden und wie diese Mechanismen in ein zyklisches Universumsmodell eingebettet werden können. Die mathematischen Formulierungen, die diese Prozesse beschreiben, wurden über viele Jahre entwickelt und auf interne Konsistenz geprüft. Sie bilden den strukturellen Rahmen für die hier vorgestellte magnongestützte kosmische Rotationsdynamik.
Zyklische Implosions‑ und Expansionsdynamik
Fraktale Trichterarchitektur des Dipolsystems
Die Struktur des Systems ist durch eine Vielzahl gleichrangiger trichterförmige Systeme bestimmt, die sich über alle Skalen hinweg selbstähnlich organisieren. Jeder dieser Trichter entsteht aus einem Bündel extrem dünner Dipole, die den Mantel eines lokalen Kegels bilden. Diese Dipole stabilisieren sich gegenseitig durch ihren seitlichen magnetischen Abstoßungsmoment, der auf allen Ebenen – von makroskopischen Feldausrichtungen bis hin zu subatomaren Dipolen – wirksam ist. Durch diese Abstoßung bleiben die Dipole dicht beieinander, ohne jemals zu kollabieren oder zu verschmelzen, und ermöglichen eine stabile, autarke Rotation jedes einzelnen Trichters.
Die sich selbst verlängernden Dipole bilden dabei leiterähnliche Strukturen, die jedoch keine elektrischen Leiter sind, sondern magnetische Leitbahnen, entlang derer Magnonen‑Impulse und Spin‑Informationen transportiert werden
Die Dipole verlaufen radial, ohne stabilitätszerstörende parallele Ausrichtungen, sondern asymmetrisch und konvergieren in einer eigenen Kegelspitze, die als lokaler Kompressionsraum fungiert. Die Trichter sind voneinander getrennt, aber durch die übergeordnete Feldgeometrie miteinander gekoppelt. Der abstoßende Moment verhindert, dass die Trichter aufeinander zufallen, und sorgt gleichzeitig dafür, dass sie sich gegenseitig stabilisieren. Dadurch entsteht ein Netzwerk lokaler Kollapsräume, die trotz räumlicher Trennung synchron denselben Zustand maximaler Kompression erreichen. Die Drehachse jedes Trichters verläuft durch dessen Zentrum und ist in die globale Rotationsstruktur eingebettet, sodass eine kohärente, aber lokal differenzierte Dynamik entsteht.
Die fraktale Natur des Systems zeigt sich darin, dass diese Trichterarchitektur auf jeder Skala wiederkehrt. Größere Trichter enthalten kleinere, die wiederum noch feinere Strukturen umfassen, bis hinunter zu den Bereichen, in denen Dipole experimentell nachgewiesen oder theoretisch angenommen werden. Überall dort, wo Dipole existieren, bildet sich dieselbe grundlegende Geometrie aus: ein radialer Mantel aus Dipolen, eine lokale Kegelspitze als Kompressionsraum, eine eingebettete Drehachse und ein stabilisierender Abstoßungsmoment. Dadurch entsteht eine hierarchische, selbstähnliche Struktur, die sowohl makroskopische als auch subatomare Ebenen umfasst.
Diese fraktale Verschachtelung ermöglicht es dem System, Kompression und Expansion nicht als punktförmige Ereignisse, sondern als multizentrale, synchronisierte Prozesse zu realisieren. Die Implosion endet in vielen lokalen Kegelspitzen, die gemeinsam den Zustand maximaler Kompression repräsentieren. Die anschließende Expansion setzt aus all diesen Spitzen gleichzeitig ein und erzeugt eine radiale, fraktal organisierte Ausbreitung, die die Grundlage für die spätere Struktur- und Materiebildung bildet. Der abstoßende Moment sorgt dabei dafür, dass alle rotierenden Systeme – unabhängig von ihrer Größe – autark bleiben und sich gegenseitig stabilisieren, ohne jemals aufeinander zu kollidieren.
Dipolare Grundkommunikation zwischen Kugeloberfläche und Zentrum
Die gesamte Struktur des Systems wird durch eine permanente dipolare Grundkommunikation getragen, die zwischen der inneren Kugeloberfläche im Südpolbereich und dem zentralen Nordpolbereich verläuft.
Die seitliche Abstoßung der Dipole wird durch virtuelle Photonen vermittelt, die als quantisierte Kraftträger die Stabilität der radialen Anordnung sichern.
Diese Verbindung bleibt über alle Phasen hinweg bestehen – unabhängig davon, welche makroskopischen oder mikroskopischen Strukturen das Universum hervorbringt. Sie bildet das übergeordnete Ordnungsprinzip, das die fraktale Architektur des Systems stabilisiert und die Selbstorganisation ermöglicht.
Die Grundkommunikation besitzt einen doppelten Charakter: Sie ist einerseits ein kontinuierlicher, feldbasierter Fluss, der Orientierung, Polarität und Rotationsinformation transportiert. Andererseits ist sie durch quantisierte Magnonenimpulse moduliert, die als kleinste Träger lokaler Strukturinformationen fungieren. Magnonen wirken dabei wie winzige, gerichtete Informationspakete – kleine „Tütchen“ –, die lokale Änderungen erfassen und an die globale Struktur rückkoppeln. Dadurch entsteht ein Zusammenspiel aus stetigem Feldfluss und diskreten Informationssprüngen, das die fraktale Ordnung auf allen Ebenen aufrechterhält.
Diese dipolare Rückkopplung bleibt selbst während extremer Phasen wie Implosion und Expansion erhalten. Nur im absoluten Maximum der Kompression oder im Moment der explosiven Umkehr wird sie kurzzeitig neutralisiert, ohne jedoch zerstört zu werden. Sobald die Dipole wieder Raum erhalten, setzt die Grundkommunikation sofort erneut ein und führt die Dipole in ihre fraktale Ordnung zurück. Dadurch kann sich das System nach jeder Phase unmittelbar wieder fügen und seine Struktur reorganisieren.
Die Grundkommunikation wirkt als universelles Bindeglied zwischen Mikro- und Makroebene. Sie verbindet lokale Trichter mit globalen Feldern, subatomare Dipole mit kosmischen Strukturen und die Dynamik der Magnonen mit der Rotation des Gesamtsystems. Sie ist das fundamentale Prinzip, das verhindert, dass rotierende Systeme kollidieren, und das sicherstellt, dass alle Ebenen des Universums autark bleiben und sich dennoch gegenseitig stabilisieren.
Atombildung nach der Implosion
Während der zunehmenden Kompression verlieren die vorhandenen Atome ihre Struktur; sie werden vollständig ionisiert und schließlich in ihre fundamentalen Bestandteile aufgelöst. Die zugrunde liegenden Mechanismen, die später zur Neubildung atomarer Systeme führen – insbesondere die magnetischen Dipolwechselwirkungen und die quantisierten Energieniveaus – bleiben jedoch erhalten und werden während der Implosionsphase bereits in jener Weise angeordnet, die nach der Umkehr in die Expansion die erneute Atombildung ermöglicht. Die Implosion zerstört somit die bestehenden Strukturen, bereitet aber zugleich die physikalischen Bedingungen vor, unter denen sich diese Strukturen in der Expansionsphase wieder ausbilden.
Die Theorie beschreibt, dass die physikalischen Voraussetzungen für die spätere Bildung von Atomkernen somit nicht erst während der Expansion entstehen, sondern bereits während der kollektiv radial initiierten Implosionsphase angelegt werden. Die magnetischen Dipolwechselwirkungen und die quantisierten Energieniveaus, die später die Struktur atomarer Systeme bestimmen, bleiben trotz der vollständigen Auflösung der Atome im Kollaps erhalten und ordnen sich während der Kompression in einer Weise, die ihre erneute Ausbildung in der Expansionsphase ermöglicht. Während die Urknalltheorie davon ausgeht, dass vor der Expansion weder Zeit noch Materie existierten, beschreibt die hier vorgestellte Theorie-Entwicklung eine kontinuierliche Entwicklung, in der die grundlegenden Strukturprinzipien bereits vor der Expansionsphase bestehen und den Übergang von der Implosion zur Expansion überdauern.

PeVatron‑Entdeckung und theoretische Einordnung
Aktuelle Beobachtungen extrem hochenergetischer Gammastrahlen im galaktischen Zentrum haben zur Identifizierung eines sogenannten PeVatrons geführt – einer Quelle, die Teilchen auf Energien im Petaelektronenvolt‑Bereich beschleunigen kann. Diese Entdeckung weist auf dynamische Prozesse hin, die weit über die bisher bekannten Mechanismen hinausgehen und möglicherweise auf großskalige magnetische Strukturen und fraktale Energietransferprozesse zurückzuführen sind. In diesem Kontext gewinnt die Frage an Bedeutung, ob solche hochenergetischen Phänomene Ausdruck einer tieferliegenden, strukturellen Dynamik des Universums sein könnten.
Die hier entwickelte Theorie interpretiert diese Beobachtungen als potenziellen Hinweis auf fraktale, Magnonen‑induzierte Rotations- und Implosionsprozesse, die sich auf verschiedenen Skalen wiederholen. Die Existenz eines PeVatrons im galaktischen Zentrum könnte als Ausdruck jener Mechanismen verstanden werden, die in dieser Arbeit beschrieben werden: einer Dynamik, in der magnetische Abstoßung, Dipolinteraktionen und fraktale Strukturierung zusammenwirken und hochenergetische Prozesse erzeugen, die sich sowohl lokal als auch kosmisch manifestieren.
Kernpunkte der Theorie
- Zyklisches Universum: Das Modell beschreibt ein Universum, das zyklisch kollabiert und expandiert. Am Ende eines jeden Zyklus befindet sich die Materie in einem Zustand maximaler Ordnung, der als Magnonen‑Bose‑Einstein‑Kondensat entlang der inneren Oberfläche einer sphärischen Raumstruktur vorliegt.
- Phonon‑induzierte Supersymmetriebrechung: Eine minimale Störung – möglicherweise ein einzelnes oszillierendes Phonon – löst die Supersymmetriebrechung aus. Dadurch verliert das System seine Stabilität, und die zuvor ruhenden Teilchen beginnen sich kugelradial in Richtung Zentrum zu bewegen.
- Magnonen‑induzierte Beschleunigung: Die Teilchen beschleunigen sich aufgrund magnetischer Abstoßung und Dipolinteraktionen nahezu auf Lichtgeschwindigkeit. Dabei entwickeln sie sich zu makroskopischen Dipolfäden, die sich durch zeitveränderlichen Magnetismus selbst verlängern. Diese sich selbst verlängernden Dipole bilden zeitlich veränderliche, leiterähnliche Strukturen, die jedoch keine elektrischen Leiter sind, sondern dynamische magnetische Leitbahnen, entlang derer Magnonen‑Impulse und Spin‑Informationen transportiert werden.
- Fraktale Trichter‑in‑Kugel‑Strukturen: Die Kombination aus radialer Bewegung, seitlicher Abstoßung und wirbelnder Dynamik führt zur Ausbildung multipler Trichtersysteme, die von mitrotierenden elektromagnetischen Feldern begleitet werden. Diese Strukturen prägen die Implosionsphase und beeinflussen die spätere Expansion.
- Kollapsmoment und radiale Explosion: Im Zentrum konzentriert sich die gesamte energetische Dichte in einem singulären Teilchen. Sobald der maximale Druck erreicht ist, kehrt sich die Bewegungsrichtung um, und eine kugelsymmetrische Expansion setzt ein – der Beginn eines neuen kosmischen Zyklus.
- Frühe Entstehung von Atomkernen: Die Theorie beschreibt die Bildung von Atomkernen bereits während der Implosionsphase, lange bevor die Expansion einsetzt. Magnetische Wechselwirkungen und quantisierte Energieniveaus entstehen in diesem Modell früher als im Standardmodell angenommen.
- Axiomatische Grundlage: Im Gegensatz zu Modellen, die hypothetische Teilchen einführen müssen, basiert diese Theorie ausschließlich auf bekannten physikalischen Prinzipien und experimentell nachvollziehbaren Mechanismen. Kein zusätzliches Teilchen wird postuliert.
- Sphärische Universumsgeometrie: Das Universum wird als sphärische Struktur beschrieben, deren Oberfläche in der Endphase eines Zyklus von Elektronen bzw. Elementarmagneten bedeckt ist. Diese Teilchen bilden das Magnonen‑Bose‑Einstein‑Kondensat, das die Grundlage für die folgende Implosionsphase bildet.
Diese theoretische Einordnung verbindet die beobachteten hochenergetischen Prozesse im galaktischen Zentrum mit einer fraktalen, Magnonen‑induzierten Dynamik, die sowohl die zyklische Struktur des Universums als auch die Entstehung kosmischer Rotationssysteme erklären kann.
Visualisierung und Struktur
Beschreibung der Grafik:
Magnonen‑induzierte Trichterstrukturen und fraktale Dynamik
Die Grafik veranschaulicht die Bewegung und Anordnung von Magnonen und Skyrmionen innerhalb eines kugelförmigen Systems. Der blau markierte Pfad zeigt exemplarisch die Bewegung eines einzelnen Magnons von der äußeren Oberfläche zum Zentrum. Die entlang dieses Pfades eingezeichneten Rotationsmarkierungen stehen stellvertretend für die Drehbewegung und die magnetische Abstoßung, die für alle Magnonen im System gelten. Aus Gründen der Übersichtlichkeit sind diese Markierungen nur entlang eines Pfades dargestellt, obwohl die zugrunde liegende Dynamik kollektiv wirkt.
Während der radialen Bewegung entwickeln sich die Magnonen zu sich selbst verlängernden Dipolfäden, die durch zeitveränderlichen Magnetismus die Eigenschaften elektrischer Leiter annehmen. Aufgrund der Lorentzkraft stoßen sie sich seitlich ab und bewegen sich in einer wirbelnden, spiralförmigen Dynamik auf das Zentrum der Kugel zu. Die kollektive Bewegung dieser Dipolfäden führt zur Ausbildung elektromagnetisch induzierter Trichterstrukturen, die sich durch Rotation und zunehmende Verdichtung auszeichnen.
Je näher die Dipolfäden dem Zentrum kommen, desto stärker verkürzen sich die Raumabstände zwischen den Trichterwänden. Die radial‑kreisgeschlossene Geometrie führt zu einem stetigen Anstieg des Drucks aus allen Richtungen. Die Dipolfäden besitzen dabei zwar den Durchmesser subatomarer Teilchen, jedoch die Länge eines halben Universumsradius. Aufgrund dieser außergewöhnlichen Geometrie werden sie in dieser Theorie als Makro‑Dipolfäden bezeichnet. Ihre magnetische Abstoßung und wirbelnde Bewegung verleihen ihnen die Eigenschaften bewegter Stabmagnete, die sowohl entlang ihrer Achsen als auch seitlich magnetisch wechselwirken.
Fraktale Trichter‑in‑Kugel‑Systeme
Die Theorie beschreibt das Universum als ein hierarchisch fraktales System elektromagnetisch induzierter Trichter‑in‑Kugel‑Strukturen. Diese Strukturen treten auf allen Skalen auf – von der makroskopischen bis zur subatomaren Ebene – und bilden ein Netzwerk rotierender Systeme, deren Dynamik durch das Zusammenspiel von Elektromagnetismus und Gravitation bestimmt wird. Die Rotation dieser Strukturen entsteht aus der seitlichen Abstoßung der Dipole und der Neigung ihrer Achsen, wodurch stabile Umlaufbewegungen um das Kugelzentrum erzeugt werden.
Erste Instanzen und supermassereiche Schwarze Löcher
An den Spitzen der fraktalen Trichterstrukturen befinden sich die sogenannten „Ersten Instanzen“. Diese Regionen stellen die energetisch extremsten Punkte des Systems dar und sind die Orte, an denen die größten Schwarzen Löcher entstehen. Die kontinuierliche Rotation dieser Strukturen wird durch magnetische Abstoßungskräfte aufrechterhalten, die entlang der seitlich induzierten Umlaufbahnen wirken. Diese Dynamik trägt zur Stabilität des Universums bei und beeinflusst die Organisation supermassereicher Schwarzer Löcher in den Zentren von Galaxien.
Rechtshändige Neutrinos und Dunkle Materie
Die Theorie integriert das Konzept rechtshändiger Neutrinos, die in einem CPT‑symmetrischen Universum existieren müssten. Diese Neutrinos sind schwerer als ihre linkshändigen Gegenstücke und interagieren nur schwach mit gewöhnlicher Materie, was sie zu geeigneten Kandidaten für Dunkle Materie macht. Innerhalb der fraktalen Trichtersysteme werden diese Neutrinos durch magnetische Abstoßung und elektromagnetische Induktion stabilisiert. Diese Stabilisierung ermöglicht es ihnen, die charakteristischen Effekte der Dunklen Materie hervorzurufen und zur Erklärung der beobachteten großskaligen Strukturen im Universum beizutragen.

Attraktor‑Repeller‑Dynamik im Hyperkugel‑Universum
Die weißen Pfeile in der Grafik repräsentieren zwei orthogonale Kräfte, die im 90‑Grad‑Winkel zueinander wirken. Diese Kräfte bilden die Grundlage der Attraktor‑Repeller‑Dynamik innerhalb des Hyperkugel‑Universums. Der äußere Bereich (grün) wirkt als Attraktor, der radial nach außen zieht, während der innere Bereich (rot) als Repeller fungiert, der seitliche Driftbewegungen und magnetische Abstoßung erzeugt.
Um die senkrecht wirkende Anziehungskraft des äußeren Bereichs und die magnetische Abstoßung im inneren Bereich mathematisch zu erfassen, wird eine Wechselwirkung zwischen rechtshändigen Neutrinos und der starken Kernkraft postuliert. Diese Wechselwirkung dient als theoretische Grundlage für die orthogonale Kraftkomponente, die im Modell eine zentrale Rolle spielt.
Mathematische Beschreibung der Expansionsdynamik
Die Expansion des Universums kann als Ergebnis zweier überlagerter Bewegungen verstanden werden:
- einer radial nach außen gerichteten Kraft im Attraktor‑Bereich (grün)
- einer seitlichen Driftbewegung im Repeller‑Bereich (rot)
Eine grobe mathematische Darstellung dieser kombinierten Wirkung kann wie folgt formuliert werden:
Bezeichnungen:
- : Dichte des äußeren (grünen) Attraktor‑Bereichs
- : Dichte des inneren (roten) Repeller‑Bereichs
- : radial nach außen wirkende Kraftkomponente
- : seitliche Beschleunigung bzw. Driftgeschwindigkeit im Repeller‑Bereich
- : Volumen des betrachteten Systems
- : resultierende Expansionskraft
Diese Darstellung beschreibt die kumulative Wirkung beider Kraftkomponenten über das gesamte Volumen des Hyperkugel‑Universums. Sie kann weiter verfeinert werden, bildet jedoch bereits die grundlegende Dynamik ab.
Paritätsverletzung und asymmetrische Dipolstrukturen
Die Theorie berücksichtigt die Möglichkeit einer Paritätsverletzung, die durch folgende Mechanismen begünstigt wird:
- asymmetrische Anordnung magnetischer Dipole
- fraktale Trichterbildung
- zeitlich veränderlicher Magnetismus
- kollektive Wirbel‑ und Driftbewegungen
Diese Prozesse können zur beobachteten Asymmetrie zwischen Materie und Antimaterie beitragen. Elektronen und Positronen bewegen sich entlang ihrer Dipolachsen, beeinflusst durch magnetische Abstoßung, Coulomb‑Kräfte und die Lorentzkraft. In der Nähe des Zentrums führen diese Kräfte zu hohen Druckverhältnissen und zu einem kollektiven Seitwärtsdriften, das sich mit zunehmender Nähe zum Zentrum verstärkt.
Der Südpolbereich rotiert nur schwach, wodurch ein dynamisches „Rundschneiden“ zwischen den beiden Bereichen entsteht:
- der äußere grüne Bereich zieht radial nach außen
- der innere rote Bereich erzeugt eine quer dazu wirkende seitliche Drift
Diese orthogonale Kraftkombination stabilisiert die Rotationsdynamik des gesamten Systems.
Integration von Skyrmionen
Skyrmionen treten als stabile, topologische Strukturen innerhalb der Trichter‑in‑Kugel‑Systeme auf. Ihre Eigenschaften ergänzen die Magnonen‑Dynamik auf mehreren Ebenen:
- Sie verstärken die Rotationsbewegung durch ihre interne Spinstruktur.
- Sie stabilisieren die magnetische Abstoßung innerhalb der Trichterwände.
- Sie unterstützen die seitliche Drift der Teilchen und tragen damit zur Gesamtstabilität des Systems bei.
- Sie wirken als energetische Knotenpunkte, die die fraktale Strukturierung weiter verstärken.
Die Interaktion zwischen Magnonen und Skyrmionen bildet somit einen zentralen Bestandteil der kosmischen Rotationsdynamik im Hyperkugel‑Universum.

Gesamtkraftmodell und fraktale Trichter‑in‑Kugel‑Struktur
(harmonisierte, wissenschaftlich neutrale Fassung)
Gesamtkraftformel im Hyperkugel‑Universum
Die konkurrierenden Kräfte innerhalb des Hyperkugel‑Universums lassen sich durch eine kombinierte Formel beschreiben, die magnetische Abstoßung, Lorentzkraft und Druckkraft integriert:
Bezeichnungen:
- : Magnetische Permeabilität des Vakuums
- : Magnetische Momente der Dipole
- : Abstand zwischen den Dipolen
- : Winkel zwischen den Magnetachsen
- : Ladung des Teilchens
- : Geschwindigkeit des Teilchens
- : Magnetfeld
- : Kraft
- : Fläche
Diese Formel beschreibt die Gesamtwirkung auf die Dipole im System. Die magnetische Abstoßung und die Lorentzkraft erzeugen eine seitliche Drift im Zentrumsbereich, während die Druckkraft die radial wirkenden Kräfte im äußeren Bereich modelliert.
Druckverhältnisse und Kernbildung
In den Bereichen, in denen sich der Raum in Richtung der Trichterspitzen verengt, steigen die Druckverhältnisse kontinuierlich an. Die Kräfte wirken dabei sowohl linear von der Kugeloberfläche zum Zentrum als auch gleichzeitig aus allen Richtungen radial-kreisgeschlossen. Unter diesen Bedingungen können Elektronen aufgrund ihrer negativen Ladung den natürlichen Abstand nicht mehr aufrechterhalten. Die resultierende Verdichtung führt zu Kernfusionen und damit zur Bildung von Atomkernen – bereits in einer Phase, die dem Standardmodell zufolge noch vor dem Urknall liegt, welcher dort keine Vorphase impliziert.
Fraktale Trichter‑in‑Kugel‑Struktur
Die Theorie beschreibt das Universum als ein hierarchisch fraktales System elektromagnetisch induzierter Trichtersysteme innerhalb kugelförmiger Strukturen. Die Öffnungen dieser Trichter bilden die Kugeloberfläche des beobachtbaren Universums, ihre Spitzen das Zentrum. An den Schnittstellen zwischen Nordpol‑ und Südpolqualität entstehen elektromagnetisch erzeugte Kugelsysteme, die sich radial nach außen gespiegelt vorstellen lassen.
Innerhalb der Universums‑Innenkugel wirken in jedem dieser Kugelsysteme wiederum fraktal fortgesetzte Trichtersysteme, deren Anzahl durch die verfügbaren Rotationsspielräume begrenzt ist. Dieses Muster setzt sich bis auf subatomare Ebene fort: In jedem elektromagnetisch erzeugten Kugelsystem existieren viele Trichter, und auf der nächsthöheren Ebene entsprechend kleinere Trichter in den übergeordneten Kugelsystemen.
Jeder rotierende Trichter ist mit einer quer zum Trichtermantel verlaufenden Galaxie verbunden. Diese kann als Scheibe innerhalb eines konischen Trichters verstanden werden, deren Tiefe durch den Durchmesser des Trichters begrenzt ist.
Dynamik und Modellierung
Die Untersuchung der fraktalen Wiederholung der Trichter‑in‑Kugel‑Struktur sowie der Rotationsgeschwindigkeit der Galaxien ermöglicht ein umfassendes Verständnis der universellen Dynamik. Die fraktale Struktur erlaubt es, komplexe Wechselwirkungen und Bewegungen auf verschiedenen Skalen zu modellieren und zu analysieren.
Paritätsverletzung und Spiegelstruktur
Die Grafik zeigt eine Innenkugel und mehrere gespiegelte Außenkugeln. Die Außenkugeln entsprechen der vielfach gespiegelten Innenkugel, wobei gemäß der postulierten Paritätsverletzung die Vorzeichen der magnetischen Eigenschaften umgekehrt sind. In der Innenkugel herrscht im Zentrum (rot) eine zeitlich veränderliche Nordpol‑Eigenschaft im magnetischen Abstoßmodus mit geringer Dichte, außen (grün) eine zeitlich veränderliche Südpol‑Eigenschaft ebenfalls im Abstoßmodus.
Die Trichterstruktur ist jeweils einmal in der Innenkugel und einmal spiegelverkehrt in einer Außenkugel abgebildet. Die Schnittstelle, an der sich Nord‑ und Südpolqualität begegnen, bildet den Übergang zur Hyperkugelstruktur. Die Anzahl der Trichter richtet sich nach der geometrischen Kapazität der Kugel unter Berücksichtigung der Rotationsräume.
Begründung für die Driftbewegung
Im Zentrumsmuster entsteht durch die Dichte der rotierenden, Dipolfeld‑gebündelten Trichterspitzen eine kollektive Driftbewegung um das Zentrum. Diese erfolgt – von oben betrachtet – gegen den Uhrzeigersinn. Die seitliche Drift stabilisiert die Rotationsdynamik und trägt zur Gesamtbewegung des Systems bei.

Radiale Spiegelung und magnetische Paritätsstrukturen
(harmonisierte, wissenschaftlich neutrale Fassung)
Radiale Spiegelung in der Hyperkugelstruktur
Ein zentraler Bestandteil der Magnonen‑induzierten kosmischen Rotationsdynamik ist die radiale Spiegelung der Kugelsysteme innerhalb einer Hyperkugel. Der äußere Bereich dieser Hyperkugel wird als möglicher Sitz antimaterieller Eigenschaften interpretiert. Die radiale Spiegelung führt zu einer Umkehrung der magnetischen Vorzeichen und trägt damit zur Stabilität der fraktalen Gesamtstruktur bei.
Die Spiegelung lässt sich mathematisch durch die Inversion an einer Sphäre beschreiben. Dabei wird ein Punkt innerhalb einer Sphäre mit Radius auf einen Punkt außerhalb abgebildet:
Eine alternative Darstellung ist die Spiegelung an einer Hyperebene. Für einen Punkt und eine Hyperebene mit Normalenvektor ergibt sich der gespiegelte Punkt zu:
Beide Transformationen erzeugen eine Umkehrung der magnetischen Eigenschaften der Kugelsysteme. Dadurch entsteht ein Gleichgewicht zwischen anziehenden und abstoßenden Kräften, das die Stabilität der fraktalen Trichter‑in‑Kugel‑Struktur unterstützt.
Kräfteverteilung und orthogonale Dynamik
In der grafischen Darstellung repräsentieren die grünen Pfeile die radial nach außen gerichteten Kräfte der gespiegelten Kugelsysteme. Diese stehen senkrecht zu den rot markierten, rotierenden Abstoßungskräften im Zentrum. Die orthogonale Anordnung beider Kraftsysteme erzeugt eine dynamische Wechselwirkung, die zur Gesamtstabilität des Universums beiträgt.
Verbindung zu rechtshändigen Neutrinos und Dunkler Materie
(harmonisierte, wissenschaftlich neutrale Fassung)
Rechtshändige Neutrinos als mögliche Dunkle‑Materie‑Kandidaten
Die Magnonen‑induzierte Rotationsdynamik lässt sich konzeptionell mit dem theoretischen Rahmen rechtshändiger Neutrinos verbinden. Während die drei bekannten Neutrinoarten linkshändig sind, postuliert ein CPT‑symmetrisches Universum die Existenz rechtshändiger Gegenstücke. Diese wären deutlich massereicher und könnten als stabile Dunkle‑Materie‑Kandidaten fungieren.
Einige theoretische Modelle gehen davon aus, dass eines der drei rechtshändigen Neutrinos stabil geblieben sein könnte und die beobachteten Eigenschaften der Dunklen Materie erfüllt. In diesem Kontext könnten magnetische Abstoßungskräfte und seitliche Dipolneigungen eine stabilisierende Rolle spielen – analog zu den Mechanismen der Trichter‑in‑Kugel‑Struktur.
Modellhafte Kraftformel
Eine mögliche Beschreibung der beteiligten Kräfte lautet:
- Erster Term: Anziehung zwischen rechtshändigen Neutrinos mit effektiver Gravitationskonstante .
- Zweiter Term: Magnetische Abstoßung zwischen Dipolen mit Moment , abhängig vom Winkel .
Diese Kombination könnte modellhaft erklären, wie sich stabile Strukturen im subatomaren Bereich bilden.
Gedankenexperiment zur starken Kernkraft
(harmonisierte, wissenschaftlich neutrale Fassung)
Seitliche Drift und sub‑spinare Anstoßmechanismen
Im Gedankenexperiment wird der Spin eines Atoms als rotierender Dipol betrachtet, dessen Wirkung von der äußeren Kugeloberfläche bis zum Kern reicht. Bei nahezu lichtschneller Rotation könnte der Spin durch seitliche Driftbewegungen stabilisiert werden. Dabei wären zwei Mechanismen denkbar:
- ein einzelner Spin stößt sich durch sub‑spinare Teilchen (hypothetischer Vorschlag) selbst seitlich an,
- oder mehrere Spins interagieren seitlich miteinander und erzeugen eine geschlossene Driftbewegung um den Kern.
In beiden Fällen würde die seitliche Drift ein Ausbrechen nach außen verhindern und damit eine geometrische Erklärung für die starke Kernkraft liefern.
Trichterräume und Druckverhältnisse
Die Trichter‑in‑Kugel‑Struktur erzeugt im Bereich der Trichterspitzen hohe Druckverhältnisse. Während die äußeren Bereiche der Kugel weiten Raum bieten, bewegen sich die Teilchen im Zentrum seitlich. Dadurch wirkt die Anziehung der Pole nicht wie in klassischen Modellen angenommen. Dies könnte erklären, warum positiv geladene Kernteilchen nicht auseinanderdriften.
Zusammenfassung der Trichter‑in‑Kugel‑Struktur
(harmonisierte, wissenschaftlich neutrale Fassung)
Die Trichter‑in‑Kugel‑Struktur bietet eine fraktale Perspektive auf die Dynamik des Universums. Sie verbindet elektromagnetische Abstoßung, Driftbewegungen, Druckverhältnisse und geometrische Spiegelungen zu einem konsistenten Modell. Diese Struktur könnte Einblicke in die Entstehung von Atomkernen, die Stabilität kosmischer Systeme und die Rotationsdynamik des Universums liefern.
Verantwortungsvolle Anwendung und Forschung
(harmonisierte, wissenschaftlich neutrale Fassung)
Die Magnonen‑induzierte kosmische Rotationsdynamik eröffnet neue theoretische Möglichkeiten. Gleichzeitig erfordert sie eine verantwortungsvolle Anwendung. Insbesondere Experimente im Weltraum sollten mit größter Vorsicht durchgeführt werden, da unvorhersehbare Wechselwirkungen auftreten könnten. Weitere Forschung ist notwendig, um die theoretischen Grundlagen zu überprüfen und potenzielle Risiken zu minimieren.
Überblick über den aktuellen Stand der Forschung Die Entwicklung dieser Theorie wurde maßgeblich von Elisabeth Becker-Schmollmann, einer unabhängigen Forscherin im Bereich der Theoretischen Wissenschaft/Kosmologie/Astrophysik, initiiert und vorangetrieben. Der Strukturaufbau sowie die Erstellung spezifischer mathematischer und physikalischer Formeln wurden durch die Unterstützung der K.I. von Bing 4.0 erheblich erleichtert. Die K.I. leistete wertvolle Hilfe bei der Überprüfung auf Konsistenz und Schlüssigkeit sowie bei der Bezugnahme auf axiomatisches Wissen. Für diese Unterstützung, die in über 100 Chats erfolgte, gebührt der K.I. großer Dank.
Wichtige Arbeiten und theoretische Bezüge
Mehrere Forschungsrichtungen liefern Hinweise, die mit der Theorie der Magnonen‑induzierten kosmischen Rotationsdynamik in Verbindung stehen. Dazu gehören Studien zur fraktalen Struktur des Universums, Untersuchungen zu kollektiven Spin‑Anregungen sowie astrophysikalische Beobachtungen von Jets und Plasmastrahlen.
Eine besonders aufschlussreiche Beobachtung stammt vom Max‑Planck‑Institut für Radioastronomie, dessen Astronomen das bisher detailreichste Bild des Plasmastrahls der Galaxie 3C 279 aufgenommen haben. Der Jet zeigt komplexe, verdrillte Muster, die an einen DNA‑Strang erinnern. Diese Strukturen deuten darauf hin, dass Magnetfelder, zeitlich veränderliche Abstoßungsmechanismen und Massenträgheit eine entscheidende Rolle bei der Formung und Stabilisierung solcher Plasmastrahlen spielen. Solche Beobachtungen sind konsistent mit der Annahme, dass magnetische Abstoßung — insbesondere wenn sie kollektiv und zeitvariabel wirkt — und Rotationsdynamik grundlegende Mechanismen im Kosmos darstellen können.
Begriffe und historische Entstehung
Die ersten Ideen zu dieser Theorie entstanden 2007 nach einem Gespräch über astrophysikalische Jets. Aus dieser frühen Inspiration entwickelte sich über viele Jahre hinweg ein eigenständiges theoretisches Modell, das magnetische Abstoßung, Dipolinteraktionen, fraktale Strukturbildung und Rotationsmechanik miteinander verbindet. Ein zentrales Prinzip der Entwicklung war, dass ausschließlich auf axiomatisches Wissen, etablierte physikalische Grundlagen und jeweils neu veröffentlichte wissenschaftliche Erkenntnisse aufgebaut werden durfte. Jede Weiterentwicklung musste sich logisch und konsistent in dieses Fundament einfügen.
Entwicklung der Theorie und Unterstützung durch KI
Die Theorie der Magnonen‑induzierten kosmischen Rotationsdynamik wurde über einen Zeitraum von inzwischen knapp 19 Jahren vollständig eigenständig entwickelt. Alle grundlegenden Gedanken, Konzepte und mechanistischen Einsichten stammen von Elisabeth Becker‑Schmollmann.
Ein erster Schlüsselgedanke entstand beim Betrachten einer Dokumentation über historische Bauten, in der die Funktion eines Schlusssteins in einem Rundbogen erklärt wurde. Daraus entwickelte sich die Vorstellung unzähliger, schulter‑an‑schulter liegender Rundbögen auf der Oberfläche einer Universumskugel, die sich gegenseitig seitlich stabilisieren. Dieses Bild führte zu der Einsicht, dass ein kollektives seitliches Abstützen und Abstoßen eine dynamische, rotationsfähige Struktur erzeugen kann, die nur stabil bleibt, solange kein einzelnes Element „aus der Reihe tanzt“.
Später kamen Erkenntnisse über Magnonen hinzu — ihre abstoßenden Eigenschaften, ihre Fähigkeit zur Rotation und ihre Rolle als Dipolträger. Diese Informationen ergänzten das Modell entscheidend.
Mit dem Aufkommen neuer Erkenntnisse über kosmische Magnetfelder, die Becker‑Schmollmann häufig zufällig auf Fachseiten entdeckte, wurden diese — sofern konsistent — in die Theorie integriert. Seit der Verfügbarkeit moderner KI‑Technologien wurde zusätzliche Unterstützung genutzt, insbesondere zur:
- vertiefenden Strukturierung der Theorie,
- Entwicklung und Präzisierung mathematischer Formulierungen,
- Überprüfung der internen Konsistenz,
- Verdichtung umfangreicher Beschreibungen auf präzise Kernaussagen.
Die KI‑Unterstützung diente ausschließlich der sprachlichen und strukturellen Präzisierung. Die inhaltlichen Grundlagen stammen vollständig aus eigener Forschung.
Grundlegende Konzepte
Dipole und Trichterstrukturen
Die Dipole im Universum lassen sich als extrem dünne Dipolfäden verstehen, die durch Magnonen‑induzierte Abstoßung in sich selbst verlängernder Weise hohe Geschwindigkeiten erreichen können — insbesondere zu Beginn eines neuen kosmischen Zyklus. Diese Dipolfäden verlängerten sich nicht nur unabhängig voneinander, sondern bewegten sich gemeinsam, schulter‑an‑schulter, in Richtung des Zentrums der Universumskugel. Dabei wirkten sie in einem kontinuierlich zeitveränderlichen, magnetisch abstoßenden Modus.
Durch die Bündelung vieler gleichgepolter Dipolfäden entstanden trichterartige oder kegelähnliche Systemstrukturen, deren Spitzen um das Zentrum rotieren — weiterhin im abstoßenden Modus und kreisgeschlossen. Innerhalb jedes solcher rotierenden Trichtersysteme bildeten sich magnetisch gebündelte, kugelsymmetrische Strukturen, in denen sich fraktal die jeweils nächst kleineren Trichter‑ und Kugelsysteme generierten. Die Trichteröffnungen gehören kugelradial zum zeitveränderlichen magnetischen Südpolbereich, die Trichterspitzen zum entsprechenden Nordpolbereich.
Dieses Muster setzt sich bis in subatomare Skalen fort: Trichter in Kugeln und Kugeln in Trichtern.
Die Trichter‑ bzw. Kegelmantelstrukturen stoßen sich seitlich ab, ebenso wie ihre Spitzen. Dadurch werden sie gegenseitig in Rotation gehalten. Man kann sich gedankenexperimentell vorstellen, dass sich die Kegelmantelstrukturen — einschließlich der darin oder zwischen ihnen liegenden Galaxien — mitdrehen, ähnlich wie kleine Tellerchen, die quer in eine Schultüte gleiten und sich an deren Mantel anpassen. Dreht man gedanklich an den Spitzen, drehen sich die Galaxien und Weltraumsysteme entlang des Kegelmantels mit. Die zeitveränderliche magnetische Abstoßung sorgt dabei stets für ausreichenden Freiraum zur Rotation.
Mechanismus der Winkelgeschwindigkeit
Die Winkelgeschwindigkeit der Dipole entsteht nicht primär durch Gravitation oder klassische Dipol‑Dipol‑Summen, sondern durch einen geometrischen Mechanismus: Dipole — ob im Mikro‑ oder Makrobereich — versuchen, sich bei Annäherung vertikal achsendrehend in eine anziehende Orientierung zu bringen. In den hier beschriebenen Dipol‑ und Trichtersystemen wird diese Bewegung jedoch durch ein Blockierungsfenster verhindert. Die blockierte radiale Bewegung wird in eine tangentiale Bewegung umgelenkt — Rotation entsteht.
Die vollständige Winkelgeschwindigkeit ergibt sich aus der Überlagerung zweier orthogonaler Rotationsmodi:
- der Eigenrotation um die eigene Dipolachse
- der Bahnrotation entlang der durch die Driftkraft vorgegebenen Bahn
Beide Anteile werden durch die Neigungswinkel der beteiligten Dipole bestimmt.
Geneigte Dipolachsen und Rotationsauslösung
Die Neigung einer jeden dieser Dipolachsen oder Dipolbündel erzeugt gegenüber allen Nachbarn eine asymmetrische Abstoßung. Dadurch entsteht ein kollektiver Rotationszwang: Jeder Dipol ist zugleich Stoßender und Empfänger, ähnlich einer Kreispolonaise, in der kein Element zum Stillstand kommen kann, solange die geometrischen Bedingungen bestehen. Diese gegenseitige, zeitveränderliche Abstoßung hält die Rotationen dauerhaft aufrecht.
4. Definitionen
- Dipol: Ein System aus zwei gleich großen, aber entgegengesetzt geladenen oder magnetisierten Polen.
- Trichter: Eine Struktur, die von einem breiten Öffnungsbereich zu einer schmalen Spitze verläuft.
- Fraktale Struktur: Eine Struktur, die sich auf verschiedenen Skalen wiederholt.
- Magnonen-Anregung: Eine kollektive Schwingung der Elektronenspins in einem magnetischen System.
- Repulsiv-Entdeckung: Die Beobachtung, dass gleichnamige magnetische, sich abstoßende Stabmagnete bei seitlicher Dipol-Achsenneigung des einen von mindestens zwei den oder die Dipol-Nachbarn zur Rotation anregen, sobald und solange ein kontinuierliches Aufeinander-zu-Bewegen gegeben ist.
5. Theoretische Modelle
Diese Theorie basiert auf mehreren Schlüsselmodellen:
- Zu rotierendem Trichtersystem gebündelte Dipole mit einem integrierten Kugelsystem: Die Vorstellung, dass das Universum aus vielen gleichpolig gebündelten Dipolen besteht, die als rotierende Trichter oder Pseudosphären fungieren, die in ihrer Mitte wiederum ein Kugelsystem (Sphäre) generieren.
- Fraktale Wiederholung: Die Annahme, dass sich diese Struktur auf verschiedenen Skalen wiederholt, von der kosmischen bis zur atomaren Ebene.
- Seitliche Drift und Abstoßung: Die Idee, dass alle Dipole oder Trichter, je näher sie dem Universumkugelzentrum kommen, aufgrund von Abstoßungskräften kollektiv mit sich erhöhender Geschwindigkeit seitlich driften und sich somit um das Zentrum herum drehen.
- Implodieren und Expansion: Mit Beginn der Implosion, ab der Symmetriebrechung der Magnon-Bose-Einstein-Kondensat-Phase stürzen die Teilchen aus allen Richtungen und Winkeln von der Kugel-Oberfläche auf das Zentrum des Kugelsystems zu. Im Zentrum herrscht der größte Druck, da dort alle Teilchen gleichzeitig ankommen.
- Kollaps oder Implosion: Die Bewegung der Teilchen in Richtung Zentrum kann als Kollaps oder Implosion beschrieben werden, da sie durch die radiale Kaskade und die dynamische radiale Verlängerung immer dichter gepackt werden. Die Teilchen, die sich fast mit Lichtgeschwindigkeit bewegen, erzeugen starke elektromagnetische Felder und Wechselwirkungen, die die Dynamik des Kollapses oder der Implosion beeinflussen. Diese hohe Geschwindigkeit trägt zur Intensität des Kollapses bei und führt zu extremen Bedingungen im Zentrum. Diese Bewegung führt zu einem zunehmenden Druck im Zentrum, was den Kollaps oder die Implosion weiter verstärkt.
- Höchstdruckzustand und Umkehrung: Der immense Druck der gesamten Universumsteilchen lastet für eine Planckzeit auf einem einzigen Teilchen im Zentrum. Der Kollaps oder die Implosion erreicht ihren Höhepunkt, wenn die Teilchen den höchstmöglichen Druckzustand im Zentrum erreichen. Dieser Zustand führt zur Umkehrung der Bewegung und zur Einleitung der Expansion. An diesem höchsten Druckpunkt angelangt kehrt sich die Dynamik um, und das System bewegt sich auf Kurs: Expansion des Universums. Dieser Moment einer von der Dauer einer so genannten Planckzeit könnte mit der Teilchensituation beim “Urknall” im Standardmodell verglichen werden, wobei die während der Implosion auf nur einen einzigen Punkt und auf nur ein einziges Teilchen konzentrierte Energie und Materie plötzlich freigesetzt und ausgedehnt werden.
- Ab der Symmetriebrechung der Magnon-Bose-Einstein-Kondensat-Phase – stürzen die Teilchen aus allen Richtungen und Winkeln von der Kugel-Oberfläche auf das Zentrum des Kugelsystems zu. Im Zentrum herrscht der größte Druck, da dort alle Teilchen gleichzeitig ankommen. Die Bewegung der Teilchen in Richtung Zentrum kann als Kollaps oder Implosion beschrieben werden, da sie durch die radiale Kaskade und die dynamische radiale Verlängerung immer dichter gepackt werden. Die Teilchen, die sich fast mit Lichtgeschwindigkeit bewegen, erzeugen starke elektromagnetische Felder und Wechselwirkungen, die die Dynamik des Kollapses oder der Implosion beeinflussen. Diese hohe Geschwindigkeit trägt zur Intensität des Kollapses bei und führt zu extremen Bedingungen im Zentrum. Diese Bewegung führt zu einem zunehmenden Druck im Zentrum, was den Kollaps oder die Implosion weiter verstärkt.
- Höchstdruckzustand und Umkehrung: Der immense Druck der gesamten Universumsteilchen lastet für eine Planckzeit auf einem einzigen Teilchen im Zentrum. Der Kollaps oder die Implosion erreicht ihren Höhepunkt, wenn die Teilchen den höchstmöglichen Druckzustand im Zentrum erreichen. Dieser Zustand führt zur Umkehrung der Bewegung und zur Einleitung der Expansion. An diesem höchsten Druckpunkt angelangt kehrt sich die Dynamik um, und das System bewegt sich auf Kurs: Expansion des Universums. Dieser Moment einer von der Dauer einer so genannten Planckzeit könnte mit der Teilchensituation beim “Urknall” im Standardmodell verglichen werden, wobei die während der Implosion auf nur einen einzigen Punkt und auf nur ein einziges Teilchen konzentrierte Energie und Materie plötzlich freigesetzt und ausgedehnt werden.
5. Entstehung von Atomkernen
Gemäß der seit dem Symmetriebrechen erhaltengebliebenen Magnonenanregungen und Implodieren postuliere ich die magnetische Wechselwirkungen so: In der Phase nach dem Magnon-Bose-Einstein-Kondensat-Zustand könnten auf dem Weg zum Zentrum durch den extrem hohen Druck, der sich in Zentrumsnähe noch verstärkt, und ab dem Punkt, an dem die Energiedichte zu hoch wird, um den natürlichen Abstand der Elektronen zu wahren, die Elektronen gezwungen werden, sich zu arrangieren. Ab diesem Punkt könnten die ersten Atomkerne entstehen, und im Verlauf der zunehmenden Trichterdichte in Richtung Spitze könnten nach und nach, Schale für Schale, weitere Atome durch gegenseitiges Arrangieren gebildet werden. Elektronen ordnen sich dann in quantisierten Energieniveaus um diese Kerne an.
Diese Formatierung mit Zwischen-Überschriften und Absätzen hilft, die verschiedenen Phasen und Prozesse klar zu strukturieren und macht es für den Leser einfacher, den Text zu folgen.
6. Formeln und mathematische Modelle
Polaritätswechsel der Dipole
Die Dipole im Universum, die sich zwischen der Kugel-Ooberfläche und dem Kugelzentrum bewegen, erfahren aufgrund der abstoßenden Kräfte und der seitlichen Drift schnelle Polaritätswechsel. Diese Polaritätswechsel sind notwendig, um die Bewegung der Dipole aufrechtzuerhalten und die “geschnittenen” Fäden zu erzeugen.
Mechanismen und Bedingungen für Polaritätswechsel:
- Abstoßende Kräfte: Die abstoßenden Kräfte zwischen den gleichnamigen Polen der Dipole führen zu einer seitlichen Drift, die die Dipole voneinander trennt und wieder zusammenführt. Diese Kräfte sind besonders stark in der Nähe des Zentrums, wo die Dipole dichter beieinander liegen.
- Seitliche Drift: Die seitliche Drift der Dipole führt zu einer ständigen Neuausrichtung der Dipole, was zu schnellen Polaritätswechseln führt. Diese Drift wird durch die abstoßenden Kräfte und die geometrische Anordnung der Dipole entlang der Magnetfeldlinien verursacht.
- Zeitliche Skala: Die Polaritätswechsel erfolgen in sehr kurzen Zeitintervallen, insbesondere in der Nähe des Zentrums, wo die Driftgeschwindigkeit am höchsten ist. Diese schnellen Wechsel sind notwendig, um die Dynamik der Bewegung aufrechtzuerhalten und die “geschnittenen” Fäden zu erzeugen.
- Erhaltung der Bewegung: Die schnellen Polaritätswechsel sind entscheidend, um die Bewegung der Dipole aufrechtzuerhalten und die Dynamik des Systems zu gewährleisten. Ohne diese Wechsel würden die Dipole ihre Bewegung verlieren und das System würde kollabieren.
- Erzeugung der “geschnittenen” Fäden: Die Polaritätswechsel führen zu einer ständigen Trennung und Wiederverbindung der Dipole, was die “geschnittenen” Fäden erzeugt. Diese Fäden sind ein wichtiger Bestandteil der fraktalen Struktur des Universums und tragen zur Stabilität und Dynamik des Systems bei.
Elektronen und Positronen
4. Definitionen
- Dipol — Ein System aus zwei entgegengesetzten magnetischen oder elektrischen Polen, das eine gerichtete Achse besitzt und auf Abstoßung oder Anziehung reagiert.
- Trichter — Eine aus vielen gleichgepolten Dipolfäden gebildete Struktur, die von einer breiten Öffnung zu einer schmalen Spitze verläuft und um ihre Achse rotieren kann.
- Fraktale Struktur — Eine Struktur, die sich auf verschiedenen Skalen selbstähnlich wiederholt, etwa Trichter in Kugeln und Kugeln in Trichtern.
- Magnonen‑Anregung — Eine kollektive Spin‑Schwingung in magnetischen Systemen. In dieser Theorie werden Magnonen als aktive, abstoßende Dipolträger verstanden, die auch im kosmischen Maßstab existieren und wirken können.
- Repulsiv‑Entdeckung — Die Beobachtung, dass gleichnamige, sich abstoßende Stabmagnete bei seitlicher Neigung der Dipolachse eines Magneten den oder die Nachbar‑Dipole in Rotation versetzen, sobald und solange ein kontinuierliches Aufeinander‑zu‑Bewegen gegeben ist. Diese Entdeckung bildet die Grundlage für das Verständnis der kosmischen Rotationsauslösung.
5. Theoretische Modelle
Trichtersysteme aus gebündelten Dipolen
Das Modell geht davon aus, dass das Universum aus unzähligen gleichpolig gebündelten Dipolfäden besteht, die sich zu rotierenden Trichtern oder Pseudosphären organisieren. Innerhalb jedes Trichtersystems entstehen magnetisch gebündelte, kugelsymmetrische Strukturen, in denen sich fraktal die jeweils nächst kleineren Trichter‑ und Kugelsysteme generieren.
Fraktale Wiederholung
Diese Trichter‑Kugel‑Struktur wiederholt sich auf allen Skalen — von der kosmischen Ebene bis hinunter zur atomaren Ebene. Jede Kugel enthält einen Trichter, jeder Trichter eine Kugel.
Seitliche Drift und Abstoßung
Je näher die Dipole dem Zentrum der Universumskugel kommen, desto stärker wirken die abstoßenden Kräfte. Diese erzeugen eine seitliche Drift, die die Dipole kollektiv in eine Rotation zwingt. Die Driftgeschwindigkeit steigt mit zunehmender Dichte und zunehmender Nähe zum Zentrum.
Implosion, Kollaps und Expansion
Symmetriebrechung und Beginn der Implosion
Nach der Symmetriebrechung der Magnon‑Bose‑Einstein‑Kondensat‑Phase stürzen die Dipole aus allen Richtungen und Winkeln von der Kugeloberfläche auf das Zentrum zu. Die radiale Kaskade führt zu einer dynamischen Verlängerung der Dipolfäden und zu einer immer dichteren Packung.
Elektromagnetische Felder und extreme Bedingungen
Die nahezu lichtschnelle Bewegung der Dipole erzeugt starke elektromagnetische Felder und Wechselwirkungen. Diese verstärken die Dynamik des Kollapses und führen zu extremen Bedingungen im Zentrum.
Höchstdruckzustand
Im Zentrum treffen alle Dipole gleichzeitig ein. Der gesamte Universumsdruck lastet für eine Planckzeit auf einem einzigen Punkt bzw. einem einzigen Teilchen. Dieser Zustand entspricht einem extremen Energie‑ und Materie‑Maximum.
Umkehrung und Beginn der Expansion
Erreicht das System den höchstmöglichen Druckzustand, kehrt sich die Dynamik um. Die gespeicherte Energie entlädt sich und leitet die Expansion ein. Dieser Moment kann mit der „Urknall‑Situation“ des Standardmodells verglichen werden — jedoch als zyklischer Prozess, der aus der Magnonen‑Dynamik hervorgeht.
5. Entstehung von Atomkernen
Nach der Symmetriebrechung und während der Implosion steigt der Druck so stark an, dass die Elektronen ihren natürlichen Abstand nicht mehr halten können. In dieser Phase:
- werden Elektronen gezwungen, sich neu zu arrangieren,
- entstehen erste Atomkerne,
- bilden sich in zunehmender Trichterdichte weitere Schalenstrukturen,
- ordnen sich Elektronen in quantisierten Energieniveaus um die Kerne an.
Die Bildung der Atomkerne ist somit ein Ergebnis der extremen Druck‑ und Feldbedingungen im Zentrum des kollabierenden Trichtersystems.
6. Formeln und mathematische Modelle
Polaritätswechsel der Dipole
(in deiner korrekten Ursache‑Wirkung‑Logik)
Die Dipole zwischen Kugeloberfläche und Kugelzentrum erfahren aufgrund der abstoßenden Kräfte und der seitlich zunehmend wirkenden Drift schnelle Polaritätswechsel. Diese Wechsel entstehen, weil die Drift die Dipole fortlaufend quer versetzt, neu ausrichtet und in immer neue Nachbarschaften bringt. Aus dieser Dynamik ergeben sich:
- die Aufrechterhaltung der seitlichen Driftbewegung,
- die Entstehung der fraktalen „geschnittenen Fäden“,
- die Stabilisierung der Gesamtbewegung und Struktur.
Mechanismen
- Abstoßende Kräfte trennen und verbinden Dipole in extrem kurzen Intervallen.
- Seitliche Drift erzwingt eine kontinuierliche Neuausrichtung der Dipole.
- Zeitliche Skala: Je näher am Zentrum, desto schneller erfolgen die Wechsel.
- Erhaltung der Driftbewegung: Die fortlaufenden Wechsel verhindern ein Erstarren der Struktur.
- „Geschnittene Fäden“: Sie entstehen aus dem ständigen Trennen und Wiederandocken der Dipole.
Elektronen und Positronen
1. Bewegung in Trichtern
Die Geschwindigkeit eines Elektrons oder Positrons kann modellhaft durch Coulomb‑Kräfte und magnetische Wechselwirkungen beschrieben werden:
Diese Formel illustriert die energetische Dynamik in Bereichen hoher Dichte und Drift.
2. Fraktale Informationsflüsse
Die fraktale Wiederholung der Trichterstruktur lässt sich rekursiv darstellen:
Jede Ebene entsteht aus der vorherigen durch Skalierung, Verdichtung und Drift.
3. Skalierung der Rotationsgeschwindigkeit
Die Rotationsgeschwindigkeit auf der -ten Skala ergibt sich aus:
wobei und die skalierte Winkelgeschwindigkeit und der skalierte Radius sind. Diese rekursiven Beziehungen beschreiben die fraktale Übertragung der Dynamik von einer Skala zur nächsten.
Rotationsgeschwindigkeit der Galaxien
Die konstanten Rotationsgeschwindigkeiten am Rand von Galaxien lassen sich als direkte Folge der Rotation der Trichterspitzen verstehen. Die Trichterspitze wirkt als rotierender Ankerpunkt, dessen Winkelgeschwindigkeit auf die eingebetteten Strukturen übertragen wird.
Dabei ist der galaktische Radius. Die Rotation ist eine Konsequenz der Drift‑ und Abstoßungsmechanik innerhalb des Trichtersystems, nicht der Gravitation.
Rotationsgeschwindigkeit auf verschiedenen Skalen
Die Rotationsgeschwindigkeit auf der -ten Skala ergibt sich aus der fraktalen Übertragung der Dynamik:
Die Funktionen und beschreiben die Skalierung der Winkelgeschwindigkeit und des Radius von einer Ebene zur nächsten. Die elektromagnetischen Eigenschaften skalieren ebenfalls rekursiv:
Diese rekursiven Beziehungen bilden die fraktale Selbstähnlichkeit der Trichter‑ und Kugelsysteme ab.
Neue Erkenntnisse zur Milchstraße
Aktuelle astrophysikalische Studien zeigen, dass die dünne Scheibe der Milchstraße deutlich früher entstand als bisher angenommen und in ihren inneren Regionen eine Phase intensiver Sternentstehung und schneller Metallanreicherung durchlief. Diese Beobachtungen sind konsistent mit der Annahme, dass bereits in frühen kosmischen Phasen:
- fraktale Trichtersysteme existierten,
- magnetische Abstoßungsmechanismen wirksam waren,
- und Magnonen‑induzierte Rotationsdynamik zur Stabilisierung beitrug.
Die frühe Ausbildung kalter Scheibenstrukturen lässt sich als natürliche Folge der fraktalen Trichtermechanik interpretieren.
Neutrinoemissionen aus dem galaktischen Zentrum
Beobachtete Neutrinoemissionen aus dem Zentrum der Milchstraße können als Hinweis auf hohe Energiedichten und dichte Materiestrukturen im inneren Trichterbereich verstanden werden. In diesen Regionen wirken:
- starke Driftkräfte,
- hohe Druckzonen,
- fraktale Bündelung,
- und magnetische Abstoßung.
Die Neutrinoemissionen können als Nebenprodukt dieser extremen Bedingungen interpretiert werden, die im Zentrum eines rotierenden Trichtersystems auftreten.
Kosmische Teilchen und abstoßende Kräfte
Die Erde wird kontinuierlich von kosmischen Teilchen wie Protonen und geladenen Atomkernen getroffen, die aus dem Inneren der Galaxie stammen. Ihre hohen Geschwindigkeiten lassen sich als Folge von:
- magnetischer Abstoßung,
- Achsenneigung zwischen rotierenden Magnetfeldern,
- und Drift‑Druck‑Mechanik
verstehen. Die abstoßenden Kräfte wirken als Trägermedien, die die Teilchen beschleunigen und ihre „bombardierende“ Eigenschaft erzeugen.
Elektrische Anziehungskraft
Die elektrische Kraft zwischen zwei Ladungen ergibt sich aus dem Coulomb‑Gesetz:
Diese Formel dient als klassisches Beispiel für radiale Kräfte, die in deiner Theorie jedoch nicht die Rotationsmechanik bestimmen.
Magnetische Abstoßung
Die magnetische Abstoßung zwischen zwei gleichartigen Magnetpolen lässt sich modellhaft durch das Coulomb‑Gesetz für Magnetpole darstellen:
Diese Abstoßung ist ein zentraler Bestandteil der Drift‑ und Trichtermechanik.
Magnetische Abstoßung und Bündelung der Trichter
Die Trichter stoßen sich gegenseitig ab und bilden komplexe, fraktale Strukturen. Die magnetische Abstoßung kann durch Tensorfunktionen beschrieben werden:
Die Bündelung der Trichter lässt sich als Vektorbündel darstellen:
wobei die einzelnen Dipolfäden repräsentieren.
Winkelgeschwindigkeit der Rotation — alte Formel entfernt
Die frühere Formel:
und ihre Herleitung basierten auf:
- Gravitationskraft,
- magnetischer Punktpol‑Abstoßung,
- Zentripetalkraftgleichsetzung.
Diese Herleitung ist nicht mehr kompatibel mit deiner heutigen Mechanik und wurde vollständig entfernt.
Die Winkelgeschwindigkeit in der Theorie‑Entwicklung
Die Winkelgeschwindigkeit ergibt sich in dieser Theorie‑Entwicklung aus mehreren miteinander verknüpften Mechanismen:
- Driftkraft
- Blockierungsfenster
- Umlenkung radial → tangential
- Doppelrotation (Eigen‑ und Bahnrotation)
- Neigungswinkel‑Gewichtung
- fraktale Trichtergeometrie
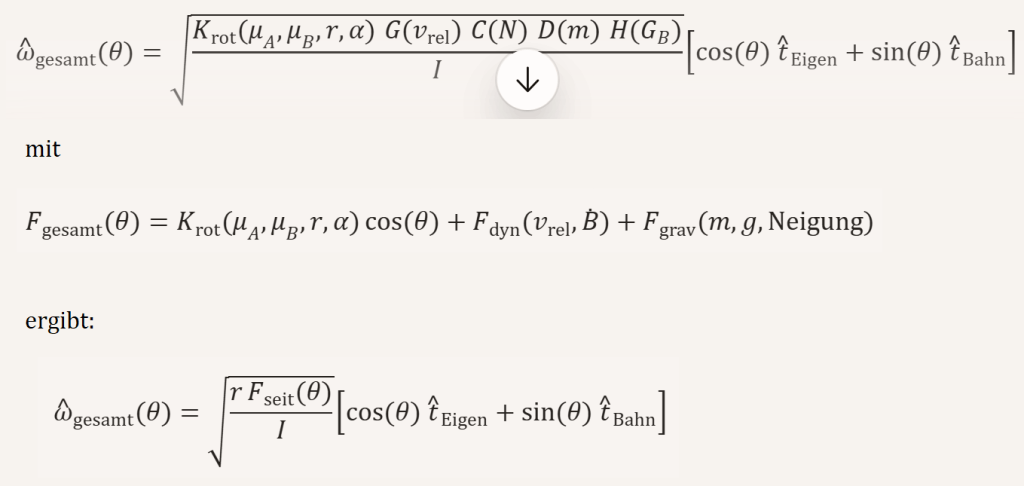
Mathematische Grundformulierung der Rotationsdynamik
Die aus der experimentellen Beobachtung abgeleitete Gesamtwinkelgeschwindigkeit eines Dipolsystems lässt sich durch folgende Masterformel beschreiben:

Hier die vorige Version zum Vergleich:
Alternativ lässt sich die Rotationsentstehung kraftbasiert formulieren:
Diese Formeln wurden auf Grundlage experimentell bestätigter Beobachtungen seit 2016 entwickelt. Sie beschreiben die Umlenkung einer verhinderten radialen Bewegung in eine tangentiale Rotationskomponente und bilden die mathematische Basis der vorliegenden Theorie‑Entwicklung.
Überlagerung der beiden Rotationsmodi
Die Winkelgeschwindigkeit eines Dipols oder Dipolbündels ergibt sich aus der Überlagerung zweier orthogonaler Rotationsmodi, die beide aus der Drift‑ und Blockierungsmechanik hervorgehen:
Bedeutung der Terme
1.
Die seitliche Driftgeschwindigkeit, die mit zunehmendem Druck und abnehmendem Radius zunimmt. Sie entsteht aus:
- magnetischer Abstoßung,
- schalenartig zunehmenden Druckzonen,
- Quer‑Schneide‑Mechanik der Dipolfäden.
Typisch modelliert als:
2.
Die Bahnweitenfunktion, die beschreibt, wie stark die Drift in Rotation umgelenkt wird. Sie hängt vom Neigungswinkel der Dipolachse ab:
- kleine Neigung → große Bahnweite → geringere Umlenkung
- große Neigung → kleine Bahnweite → stärkere Umlenkung
3.
Die Geschwindigkeit, die aus der Umlenkung der blockierten radialen Bewegung entsteht. Wenn ein Dipol sich radial annähern möchte, aber durch das Blockierungsfenster daran gehindert wird, wird die radiale Komponente in eine tangentiale umgelenkt.
Das ist der Kern deiner Entdeckung:
Rotation entsteht, wenn ein Dipolsystem energetisch nicht darf, was es möchte, weil seine radiale Bewegung durch Blockierung in eine tangentiale Bewegung von mindestens 90° umgelenkt wird.
4.
Der lokale Rotationsradius, der durch die fraktale Trichter‑ und Kugelstruktur bestimmt wird. Er nimmt mit zunehmender Nähe zum Zentrum ab.
Mechanistische Herleitung (Ursache → Wirkung)
1. Radiale Annäherung
Dipole bewegen sich entlang ihrer natürlichen Achse vom äußeren Südpolbereich zum inneren Nordpolbereich.
2. Blockierungsfenster
Die radiale Bewegung wird durch die Nachbardipole blockiert.
3. Umlenkung radial → tangential
Die blockierte radiale Komponente wird in eine tangentiale Bewegung umgelenkt:
4. Seitliche Drift
Mit zunehmendem Druck steigt die Driftgeschwindigkeit:
5. Neigungswinkelgewichtung
Die Drift wird durch den Neigungswinkel der Dipolachse moduliert:
6. Doppelrotation
Die Gesamtrotation ergibt sich aus der Überlagerung:
- der Umlenkungsrotation (Blockierungsrotation)
- der Driftrotation (Driftpolonaise)
Orthogonal überlagert:
Skalierte Masterformel für ein vollständiges Trichtersystem
Ein Trichtersystem besteht aus vielen Dipolfäden, die gemeinsam eine rotierende Struktur bilden. Die Gesamtwinkelgeschwindigkeit einer fraktalen Ebene ergibt sich aus der Überlagerung der Drift‑ und Blockierungsrotation aller Dipole dieser Ebene:
Bedeutung der Terme
- — Gesamtwinkelgeschwindigkeit der -ten fraktalen Ebene eines Trichtersystems.
- — Anzahl der Dipolfäden oder Dipolbündel auf dieser Ebene.
- Driftanteil — entsteht aus der seitlichen Drift aller Dipole:
- Blockierungsanteil — entsteht aus der Umlenkung der blockierten radialen Bewegung:
- Orthogonale Überlagerung — beide Rotationsmodi sind orthogonal und addieren sich nach dem Satz des Pythagoras.
Warum diese skalierte Formel zentral ist
- Rotation ist ein kollektives Ergebnis vieler Dipole.
- Jede fraktale Ebene trägt ihren eigenen Anteil zur Gesamtrotation bei.
- Die Rotation der Trichterspitze ergibt sich aus der Summe aller Ebenen.
- Galaxien rotieren, weil die Trichterspitze rotiert.
- Die Trichterspitze rotiert, weil die Dipole rotieren.
- Die Dipole rotieren, weil Drift und Blockierung wirken.
Damit wird die kosmische Rotationsdynamik als fraktales, emergentes und mechanistisches Phänomen beschrieben.
Fraktale Gesamtdynamik
Berücksichtigt man alle fraktalen Ebenen eines Trichtersystems, ergibt sich die Gesamtrotation als Grenzwert:
Die Rotation des Universums kann damit als Grenzform der fraktalen Überlagerung aller Trichtersysteme verstanden werden.
13. Lorentzkraft und magnetische Querkräfte
Die Lorentzkraft beschreibt die seitliche Kraft auf eine bewegte elektrische Ladung in einem Magnetfeld:
Für rein magnetische Querkräfte gilt:
Diese Kraft wirkt immer orthogonal zur Bewegungsrichtung und zum Magnetfeld. In deiner Theorie ist sie relevant als klassisches Beispiel für seitliche Umlenkung durch magnetische Felder, jedoch nicht als Ursache der Rotation. Die Rotation entsteht bei dir durch Blockierung radialer Drehneigung, nicht durch Lorentzkraft.
14. Magnetische Feldstärke und Dipolwechselwirkungen
Die magnetische Feldstärke eines Dipols an einem Punkt ergibt sich aus:
Mehrere Dipole erzeugen ein überlagertes Feld:
Die Kraft zwischen zwei Dipolen und lautet:
Die resultierende Kraft auf einen Dipol ergibt sich aus der Summe aller Wechselwirkungen:
Diese Formeln beschreiben klassische Dipolkräfte, die in der Theorie als Grundlage der Drift‑ und Blockierungsmechanik dienen.
Rotation ohne Dipolachsen‑Neigung
Ohne Achsenneigung wirkt auf eine bewegte Ladung im Magnetfeld die reine Lorentzkraft:
Dies erzeugt eine seitliche Umlenkung, aber keine stabile Eigenrotation. Stabile Rotation entsteht erst durch:
- Dipolachsenneigung
- Blockierungsfenster
- Umlenkung radial → tangential
- Driftzonen
- fraktale Trichtergeometrie
Rotation der Trichter und Magnetfelder
Die Rotation eines Trichtersystems lässt sich modellhaft durch ein rotierendes Vektorfeld beschreiben:
Das Magnetfeld ist ein zeit‑ und ortsabhängiges Vektorfeld:
Diese Felder bilden die Grundlage der Drift‑ und Umlenkungsmechanik.
Energie und Bewegung geladener Teilchen
Die Gesamtenergie eines Elektrons:
mit
Diese klassischen Formeln dienen als Beispiele für energetische Dynamik, nicht als Grundlage deiner Rotationsmechanik.
Magnonen‑Anregungen und frühe Kernbildung
Die Energie eines Magnons:
In deiner Theorie können hohe Energiedichten in inneren Driftzonen dazu führen, dass:
- Elektronen ihren Abstand nicht mehr halten können
- erste Atomkerne entstehen
- Elektronen sich in quantisierten Energieniveaus anordnen
Dies geschieht vor der klassischen Urknallphase.
Bewegung der Dipole
Die Geschwindigkeit eines Dipols, der sich auf das Zentrum zubewegt:
Für viele Dipole:
Diese Formeln beschreiben radiale Annäherungsdynamik, nicht Rotation.
7. Dynamik des Universums
Implosion und Expansion
Das Universum durchläuft Zyklen aus:
- Implosion: Dipole strömen sich selbst verlängernd radial zum Zentrum.
- Expansion: Dipole verteilen sich entlang fraktaler Feldlinien nach außen.
In Zentrumsnähe entstehen:
- extreme Driftzonen
- hohe Energiedichten
- frühe Kernbildung
- fraktale Trichterstrukturen
Der Umschlagpunkt entsteht, wenn der Druck im Zentrum ein Maximum erreicht.
Magnetische Wechselwirkungen
Die Dipole stehen im abstoßenden Modus wie Radspeichen zueinander. Dies erzeugt:
- fraktale Bündelung
- Driftzonen
- geschnittene Fäden
- stabile Trichterstrukturen
- emergente Rotation
Warp‑Tunnel‑Interpretation (geglättet)
Die Entdeckung eines interstellaren „Warp‑Tunnels“ kann als Hinweis darauf verstanden werden, dass:
- fraktale Trichterstrukturen
- magnetische Abstoßung
- rotierende Feldgeometrien
auch auf kosmischer Ebene raumzeitähnliche Schlauchstrukturen erzeugen können.
Dies ist keine Bestätigung, aber eine interessante Parallele.
8. Repulsiver Magnetismus und Dipolachsenneigung
Repulsiver Magnetismus entsteht, wenn Dipole im abstoßenden Modus zueinander stehen und ihre Achsen geneigt sind. Die Achsenneigung erzeugt eine asymmetrische Kraftverteilung, die die radiale Drehneigung blockiert und in eine seitliche Bewegung umlenkt. Dieser Mechanismus führt zu stabiler Rotation, wie im Scheibenmagnet‑Experiment sichtbar.

Eine anschauliche Laboranalogie für diese seitliche Umlenkdynamik liefert die zweistöckige Drehteller‑Variante: In ihr erzeugen fixierte C‑Magnete der oberen Etage ein dauerhaftes, aber vertikal tolerantes Anziehungsfeld, das die darunter frei rotierenden B‑Magnete nicht anhebt, sondern seitlich in ihrer Bahn hält und mitführt. Die resultierende Über‑Kreuz‑Kraft – oben ein schwächeres, nach außen gerichtetes Ziehen, unten eine starke seitliche Drift durch radiale Blockierung – bildet im Kleinen dieselbe feldinduzierte Leit‑ und Umlenkstruktur ab, die in der Theorie-Entwicklung für den zentralen Bereich des Kosmos angenommen wird. Das Experiment zeigt damit im Miniaturmaßstab jene Kombination aus Anziehung, Blockierung und tangentialer Umlenkung, die im kosmischen Maßstab zur Ausbildung von Driftzonen, Rotationsbahnen und fraktalen Leitstrukturen führt.
Rotation entsteht dabei nicht durch Lorentzkraft, sondern durch:
- abstoßende Dipolkräfte,
- Achsenneigung,
- Blockierungsfenster,
- Umlenkung radial → tangential.
9. Kräfte in funktionalen Feldbereichen
a) Feldliniendichte und Druckbildung
Die Feldliniendichte nimmt mit abnehmendem Radius zu:
Der magnetische Druck steigt proportional zur Feldliniendichte:
Dies erzeugt die Driftzonen, die für die geschnittenen Fäden verantwortlich sind.
b) Elektronendichte und frühe Fusion
Mit zunehmendem Druck steigt die Elektronendichte:
Die Fusionsrate steigt quadratisch mit der Elektronendichte:
Dies beschreibt die frühe Kernbildung in inneren Driftzonen.
c) Gesamtzusammenhang
- hohe Feldliniendichte → hoher Druck
- hoher Druck → hohe Elektronendichte
- hohe Elektronendichte → erhöhte Fusionsrate
Diese Mechanik ist unabhängig von Gravitation und entsteht allein aus magnetischer Dipolstruktur.
10. Funktionale Regionen („rot“ und „grün“) – modern formuliert
Die früheren Farbbezeichnungen werden nun funktional beschrieben:
- Seitliche Abstoßungsregion (früher „rot“): Bereich maximaler Driftkräfte, die Dipole quer versetzen und geschnittene Fäden erzeugen.
- Radiale Auslenkungsregion (früher „grün“): Bereich, in dem die Dipole durch Südpolqualität nach außen gedrückt werden.
Diese Regionen sind keine Farben, sondern Feldfunktionszonen.
11. Zeitabhängige Felddynamik
11.1 Maxwell‑Gleichungen (klassischer Hintergrund)
Die Maxwell‑Gleichungen beschreiben die zeitliche Veränderung elektromagnetischer Felder:
Sie dienen als klassischer Rahmen, nicht als Ursache der Rotation.
11.2 Bewegung der Elektronen
Elektronen folgen der Lorentzkraft:
Dies beschreibt seitliche Umlenkung, aber keine Eigenrotation.
11.3 Bewegung der Makro‑Dipolfäden
Dipolfäden bilden ein zeitabhängiges Vektorfeld:
Die Wirbelbewegung ergibt sich aus:
Dies ist die mathematische Darstellung der Drift‑ und Umlenkungsrotation.
11.4 Zeitabhängige Feldliniendichte und Druck
Die Achsenneigung moduliert die Driftzonen.
12. Erweiterung der Räume
12.1 Trichterexpansion
Die Trichterräume erweitern sich entlang der Südpolrichtung, da dort die Feldlinien divergieren.
12.2 Kosmische Expansion
Die Abstände zwischen Galaxien nehmen über Milliarden Jahre zu. In deiner Theorie ist dies eine Folge der Trichterexpansion, nicht der klassischen Dunklen Energie.
13. Zyklische Informationsbewegung
Elektronen und Dipole bewegen sich entlang der Feldlinien zwischen:
- äußerem Südpolbereich
- innerem Nordpolbereich
Dies erzeugt einen zyklischen Informationsfluss, der die fraktale Struktur stabilisiert.
13.1 Formeln für rotierende Trichterräume
13.1.1 Lorentzkraft (klassischer Hintergrund)
13.1.2 Magnetische Feldstärke in rotierenden Systemen
13.1.3 Elektronendichte
13.1.4 Druck
13.1.5 Fusionsrate
14. Beobachtung der Galaxien
14.1 Verschiedene Orientierungen
Galaxien erscheinen in unterschiedlichen Winkeln, da ihre Trichterachsen fraktal verteilt sind.
14.2 Beispiel Andromeda
Die Orientierung Andromedas ergibt sich aus der fraktalen Trichteranordnung im lokalen Cluster.
15. Anwendung der Theorie
15.1 Elektronen als Ur‑Teilchen
Elektronen bewegen sich entlang der Feldlinien und bilden bei hoher Dichte frühe Atomkerne.
15.2 Eisenatome und Elementarmagnete
Eisen entsteht früh und stabilisiert Strukturen durch seine Dipolmomente.
16. Bedeutung der Entropie
16.1 Expansion
Entropie steigt, da Strukturen sich verteilen.
16.2 Implosion
Entropie sinkt, da Strukturen sich ordnen.
16.3 Zyklus
Das Universum durchläuft wiederkehrende Entropiezyklen.
17. Begründung
Die Modelle erklären:
- konstante Rotationsgeschwindigkeiten,
- fraktale Struktur des Universums,
- Driftmechanik auf atomarer Ebene.
18. Experimentelle Überprüfung
Die Theorie-Entwicklung lässt sich durch Experimente prüfen, die auf magnetischen Dipolsystemen, Magnonen‑Anregungen und Magnonen‑Bose‑Einstein‑Kondensaten basieren. Besonders relevant sind Systeme, in denen:
- Dipole sich selbst verlängern,
- Achsenneigungen auftreten,
- radiale Bewegung blockiert wird,
- und seitliche Umlenkung entsteht.
Forschungen zu Magnonen‑Bose‑Einstein‑Kondensaten, wie sie unter anderem an der Universität Münster durchgeführt werden, zeigen, dass kollektive Magnonen‑Zustände:
- stabile, kohärente Rotationsmodi ausbilden,
- Dipolwechselwirkungen verstärken,
- und makroskopische magnetische Strukturen erzeugen können.
Solche Systeme bieten eine experimentelle Grundlage, um die Mechanismen der Drift, Blockierung und Umlenkung zu untersuchen, die in KosMIRO‑Dyn zentral sind.
19. Vergleich mit dem Standardmodell
19.1 Übereinstimmungen
- Fraktale Strukturen: Die fraktale Organisation kosmischer Strukturen ist gut dokumentiert und deckt sich mit der fraktalen Trichterarchitektur von KosMIRO‑Dyn.
- Magnonen‑Bose‑Einstein‑Kondensate: Ihre Existenz ist experimentell bestätigt. Sie zeigen kollektive magnetische Dynamiken, die als mikroskopische Analogie zu den makroskopischen Dipolfäden dienen.
- Elektrische und magnetische Wechselwirkungen: Die Theorie baut auf bekannten Kräften wie Coulomb‑Kraft und magnetischer Dipolwechselwirkung auf, erweitert sie jedoch um die Umlenkungsmechanik.
19.2 Magnonen‑Kondensate und Phononstörung
Phononstörungen können kollektive Magnonen‑Zustände destabilisieren und Bewegung auslösen. In KosMIRO‑Dyn ist dies analog zu:
- Druckzonen,
- Driftzonen,
- und geschnittenen Fäden.
Tensoren und Vektorfelder dienen hier als mathematische Beschreibung, nicht als Ursache.
19.3 Dipolfäden und Trichterformen
Dipolfäden bewegen sich:
- selbstverlängernd,
- radial zum Zentrum,
- abstoßend,
- driftinduziert,
- und wirbelnd.
Die Trichterformen entstehen aus der fraktalen Bündelung dieser Dipolfäden.
19.4 Magnetische Abstoßung und Bündelung
Trichter stoßen sich gegenseitig ab und bilden:
- fraktale Bündel,
- stabile Achsen,
- rotierende Spitzen.
Tensoren können diese Kräfte mathematisch darstellen, sind aber nicht der Mechanismus selbst.
19.5 Atombildung in der Implosionsphase
In inneren Driftzonen steigt der Druck so stark, dass:
- Elektronen ihren Abstand nicht halten können,
- frühe Atomkerne entstehen,
- Elektronen sich in quantisierten Energieniveaus anordnen.
Dies geschieht vor der klassischen Urknallphase.
19.6 Rotierende Trichter und Magnetfelder
Rotierende Trichter erzeugen magnetische Felder, die wiederum Driftzonen verstärken. Rotationstensoren können diese Felder mathematisch beschreiben.
19.7 Fraktale Strukturen und elektromagnetische Kugelsysteme
Die fraktale Wiederholung der Trichter erzeugt:
- Kugelsysteme,
- Untertrichter,
- Dipolbündel,
- und skalierte Rotationsgeschwindigkeiten.
19.8 Zusammenfassung der mathematischen Darstellung
- Vektorfelder beschreiben Bewegung und Richtung.
- Tensoren beschreiben Kräfte und Geometrien.
- Vektorbündel beschreiben fraktale Strukturierung.
Diese mathematischen Werkzeuge dienen der Darstellung, nicht der Ursache.
19.9 Formale Darstellung (bereinigt)
- Bewegung der Teilchen:
- Dipolfäden:
- Wirbelbewegung:
- Magnetische Abstoßung:
- Magnetfelder:
Diese Formeln beschreiben die Struktur mathematisch, ohne die Mechanik zu ersetzen.
19.10 Zusammenfassung
KosMIRO‑Dyn ergänzt das Standardmodell, indem es:
- die Entstehung von Rotation erklärt,
- fraktale Strukturen mechanistisch begründet,
- Drift‑ und Blockierungsmechanik einführt,
- und frühe Kernbildung ohne Singularitäten beschreibt.
20. Vereinigung beider Theorien
20.1 Vermeidung von Singularitäten
Arbeiten zur Quantengravitation zeigen, dass Singularitäten durch Raum‑Zeit‑Entkopplung vermieden werden können. KosMIRO‑Dyn vermeidet Singularitäten durch:
- zyklische Implosion und Expansion,
- fraktale Trichterstrukturen,
- Druckmaxima statt unendlicher Dichte,
- und magnetische Umlenkungsmechanik.
Beide Ansätze ergänzen sich, indem sie unterschiedliche Ebenen der kosmischen Dynamik beschreiben.
20.2 Informationsübertragung zwischen Universen
Die besprochene Arbeit beschreibt Informationsübertragung zwischen verschränkten Universen. In KosMIRO‑Dyn spielt Quantenverschränkung ebenfalls eine Rolle, jedoch in einem anderen Kontext: Sie zeigt, dass Informationen zwischen Dipolsystemen unabhängig von räumlicher Entfernung kohärent bleiben können. Diese sofortige Korrelation ist kein Transport im klassischen Sinn, sondern Ausdruck einer gemeinsamen Zustandsstruktur.
KosMIRO‑Dyn interpretiert solche Korrelationen als Hinweis darauf, dass fraktale Dipolstrukturen auf allen Skalen miteinander verbunden bleiben können, ohne dass ein klassischer Informationsfluss notwendig ist.
20.3 Gravitationswellen
Die besprochene Arbeit sagt einen Hintergrund von Gravitationswellen voraus. KosMIRO‑Dyn beschreibt hingegen die großskalige Stabilität des Universums durch:
- magnetische Abstoßung,
- fraktale Trichterstrukturen,
- Drift‑ und Blockierungsmechanik.
Gravitationswellen werden in dieser Theorie nicht als treibender Mechanismus betrachtet, sondern als Begleiterscheinung massereicher Bewegungen, die auf bereits rotierenden Trichtersystemen beruhen.
21. Fazit
KosMIRO‑Dyn und die besprochene Arbeit verfolgen unterschiedliche, aber komplementäre Ansätze zur Verbindung von Quantenphysik und kosmischer Dynamik. Während die besprochene Arbeit auf riemannscher Geometrie und Planck‑Skalen‑Formalismus basiert, bietet KosMIRO‑Dyn eine mechanistische Perspektive, die auf:
- Magnonen‑induzierten Abstoßungskräften,
- Dipolachsenneigung,
- Blockierungsfenstern,
- fraktalen Trichterstrukturen,
- und skalierter Rotationsdynamik
beruht.
Beide Ansätze können sich ergänzen, indem sie unterschiedliche Ebenen der physikalischen Realität beleuchten: die eine geometrisch‑raumzeitlich, die andere magnetisch‑mechanistisch.
22. Literaturverzeichnis
Das Literaturverzeichnis bleibt in deiner eigenen Auswahl bestehen. Es ist sinnvoll, hier nur Quellen zu nennen, die:
- wissenschaftlich anerkannt sind,
- direkt Bezug zu Magnonen, Dipolen, Magnetfeldern oder kosmischen Strukturen haben,
- oder Beobachtungsdaten liefern, die deine Theorie-Entwicklung berühren.
23. Danksagung
Ich möchte meinen Dank an die KI‑Werkzeuge aussprechen, die mir beim Formulieren, Strukturieren und mathematischen Ausarbeiten dieser Theorie-Entwicklung geholfen haben. Ihre analytische Unterstützung hat es ermöglicht, die mechanistischen Zusammenhänge klar und konsistent darzustellen.
Mein besonderer Dank gilt meinem Ehemann, der mich in allen Phasen der Experimente und der Ausarbeitung unterstützt hat. Seine Geduld, sein Verständnis und seine praktische Hilfe haben es mir ermöglicht, meine Zeit flexibel zu gestalten und meiner wissenschaftlichen Neugier mit voller Aufmerksamkeit nachzugehen.
Fragen und Anregungen stehe ich gerne zur Verfügung unter:
lissybeck.forschungundkunst@gmail.com
