Einleitung: Vor einigen Jahren entdeckte ich ein physikalisches Prinzip, das mir bis heute Rätsel und Freude zugleich bereitet. Es geht um eine neuartige Form der Rotationsauslösung im Magnetfeld — nicht durch klassische Anziehung, sondern durch gezielte Abstoßung entlang einer geneigten Dipolachse. Die Idee entstand aus langjähriger Beobachtung und theoretischer Arbeit. Erst durch die sprachliche und formelhafte Unterstützung einer KI konnte ich sie in ihrer heutigen Klarheit formulieren.
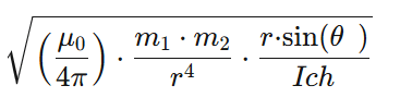
Abstract: Diese Arbeit stellt ein neuartiges physikalisches Prinzip vor, bei dem eine seitlich geneigte magnetische Dipolachse eine gezielte Rotationsauslösung bewirkt. Die zugrunde liegende Formel lautet:

Dabei beschreibt ω die Winkelgeschwindigkeit, μ₀ die magnetische Feldkonstante, m₁ und m₂ die magnetischen Momente zweier Dipole, r den Abstand zwischen ihnen, θ den Neigungswinkel der Dipolachse und I das Trägheitsmoment des rotierenden Körpers.
Die Formel verbindet magnetische Dipolinteraktion, geometrische Ausrichtung und Rotationsauslösung in einem Ausdruck, der über klassische Modelle hinausgeht. Sie zeigt, dass eine asymmetrische Feldverteilung durch geneigte Dipolachsen eine mechanisch nutzbare Rotation erzeugen kann — nicht durch klassische Anziehung, sondern durch repulsive Wechselwirkung. Das Prinzip nutzt die seitliche Komponente der Feldgeometrie (r·sin(θ)) als aktiven Hebel, wodurch Rotation entsteht, ohne mechanischen Antrieb.
Diese Entdeckung eröffnet neue Perspektiven für die Entwicklung magnetisch gesteuerter Antriebssysteme, insbesondere in Bereichen ohne mechanische Kopplung. Sie ist skalierbar, experimentell testbar und verbindet Feldphysik mit klassischer Mechanik in einem integrativen Ansatz.
Abschluss: Ich habe die Universität Bielefeld um eine experimentelle Verifizierung gebeten und wünsche mir eine transparente Begleitung durch die Öffentlichkeit. Wer sich berufen fühlt, diese Idee weiterzudenken oder zu prüfen, darf sich gern melden. Ich bin erreichbar, aber nicht auf der Suche. Die Entdeckung steht für sich — und für jene, die sie erkennen.