Das magnetische Ausrichtungs‑Drehmoment: A erzeugt ein Drehmoment auf B, das B in die anziehende Orientierung bringen will. Es hängt nur von Abstand und Orientierung ab.
Der Kippansatz der Dipolachse: B würde sich vollständig in die anziehende Lage drehen, aber sein Eigengewicht verhindert das. Es bleibt nur ein Rest‑Kippwinkel übrig. Dieser Kippansatz ist die Quelle der späteren Rotation.
Aus dem Kippansatz wird Rotation: Der Kippversuch wird nicht ausgeführt, sondern in eine Rotation umgelenkt. Je größer , desto größer die Rotationsgeschwindigkeit .
Drehrichtung: B dreht immer entgegengesetzt zur Orientierung von A. Das ist die reine Richtungsregel.
Bahnbewegung entsteht aus der Rotation: B bewegt sich nicht durch Schieben, sondern weil seine Rotation eine taumelnde Rollkomponente erzeugt. Die translatorische Geschwindigkeit ist proportional zu .
Kinematische Bedingung für das „Hinterherlaufen“ von A: A muss immer ein kleines Stück schneller sein als B, damit die radiale Abstoßung nie abreißt und B ständig neu in die ungünstige Lage gedrückt wird.
💡 Ergebnis
Dieses System bildet genau das ab, was du beobachtest:
- B will sich in die anziehende Lage drehen → Kippansatz
- Gewicht verhindert das vollständige Kippen → kleiner Restwinkel
- dieser Restwinkel erzeugt Rotation
- Rotation erzeugt Bahnbewegung
- A hält das Ganze durch radiales Nachdrücken am Laufen
- A bleibt immer knapp hinter B, weil

📘 Durchgehende Textpassage zur Bewegung von B
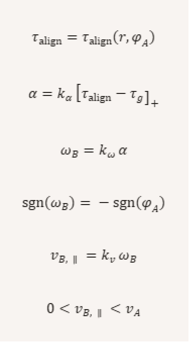
Die Bewegung von B entsteht aus einem Zusammenspiel von magnetischem Ausrichtungsversuch, Gewichtseinfluss, Rotation und einer daraus abgeleiteten Bahnbewegung. Zunächst erzeugt A ein magnetisches Drehmoment auf B, das B in die anziehende Orientierung bringen möchte. Dieses Ausrichtungs‑Drehmoment hängt ausschließlich vom Abstand und der Orientierung ab:
Da B jedoch aufrecht steht, kann er dieser Ausrichtungsbewegung nicht vollständig folgen. Sein Eigengewicht erzeugt ein Gegendrehmoment , das das vollständige Kippen verhindert. Es bleibt lediglich ein kleiner Rest‑Kippwinkel übrig, der den unvollständigen Ausrichtungsversuch repräsentiert:
Dieser Kippansatz wird nicht ausgeführt, sondern in eine Rotation umgelenkt. Die Rotationsgeschwindigkeit von B ist daher proportional zu diesem Rest‑Kippwinkel:
Die Drehrichtung ergibt sich unmittelbar aus der Orientierung von A: B dreht stets entgegengesetzt zur Richtung, in der A geneigt ist.
Aus der Rotation entsteht schließlich die Bahnbewegung von B. Diese Bewegung ist keine Folge eines mechanischen Schiebens, sondern ergibt sich aus der taumelnden Rollkomponente, die durch die Rotation hervorgerufen wird:
Damit A B kontinuierlich in der ungünstigen Lage halten und den Ausrichtungsversuch immer wieder neu anregen kann, muss A sich stets ein kleines Stück schneller bewegen als B. Nur so bleibt die radiale Abstoßwirkung erhalten und die Rotation sowie die daraus resultierende Bahnbewegung werden aufrechterhalten: