Einleitung
Die Zahl (\pi) ist eine der bekanntesten und faszinierendsten Konstanten in der Mathematik. Sie taucht in zahlreichen Bereichen der Wissenschaft und Technik auf und hat eine unendliche Anzahl von Dezimalstellen ohne erkennbare Wiederholung. Die genaue Berechnung von (\pi) hat Mathematiker seit Jahrhunderten beschäftigt, und es gibt viele verschiedene Methoden, um (\pi) zu approximieren. Eine besonders interessante Methode wurde von meinem Vater, einem Mathematiker und Wissenschaftler, entwickelt. Diese Methode basiert auf einer speziellen Konvergenzformel, die eine sehr genaue Annäherung an (\pi) liefert.

Jürgen Lang (* 28.04.1923 in Völklingen/Saar, † 11.01.2009 in Püttlingen)
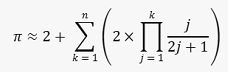
Die Formel
Die von meinem Vater entwickelte Formel zur Annäherung an (\pi) lautet:

\pi \approx 2 + \sum_{k=1}^{n} \left(2 \times \prod_{j=1}^{k} \frac{j}{2j+1}\right)π≈2+k=1∑n(2×j=1∏k2j+1j)
Diese Formel beginnt mit der Zahl 2 und verwendet eine Reihe von Multiplikationen mit Brüchen, um eine immer genauere Annäherung an (\pi) zu erhalten. Die Struktur der Formel ist einzigartig und elegant, und sie liefert erstaunlich präzise Ergebnisse.
Erklärung der Formel
Um die Formel besser zu verstehen, betrachten wir die ersten 10 Reihen:
- Reihe: (2)
- Reihe: (2 \times \frac{1}{3} = 0.666666666)
- Reihe: (0.666666666 \times \frac{2}{5} = 0.266666664)
- Reihe: (0.266666664 \times \frac{3}{7} = 0.114285714)
- Reihe: (0.114285714 \times \frac{4}{9} = 0.050793650)
- Reihe: (0.050793650 \times \frac{5}{11} = 0.023088505)
- Reihe: (0.023088505 \times \frac{6}{13} = 0.010654155)
- Reihe: (0.010654155 \times \frac{7}{15} = 0.004975942)
- Reihe: (0.004975942 \times \frac{8}{17} = 0.002341731)
- Reihe: (0.002341731 \times \frac{9}{19} = 0.001108351)
- usw. … bis unendlich möglich
Die Summe dieser Reihen ergibt eine immer genauere Annäherung an (\pi). Nach 40 Reihen ergibt sich bereits eine sehr genaue Annäherung an (\pi) mit vielen korrekten Nachkommazahlen. Siehe:
3,1415926535897932.
Nach 120 Reihen sind es 40 korrekte Nachkommazahlen.
Die Anzahl der Nachkommastellen kann dabei im Vorfeld frei gewählt werden, je nachdem, wie viele Nachkommastellen und Reihen berechnet werden sollen.
Die Bedeutung der Konvergenz
Die Konvergenz einer Reihe beschreibt, wie schnell sich die Summe der Reihe einem bestimmten Wert nähert. In diesem Fall nähert sich die Summe der Reihen sehr schnell dem Wert von (\pi). Dies ist ein Zeichen für die Effizienz und Genauigkeit der Methode. Die von meinem Vater entwickelte Formel zeigt eine bemerkenswerte Konvergenz, die es ermöglicht, (\pi) mit hoher Präzision zu berechnen.
Anwendung und Bedeutung
Die genaue Berechnung von (\pi) ist in vielen Bereichen der Wissenschaft und Technik von großer Bedeutung. Von der Geometrie über die Physik bis hin zur Informatik spielt (\pi) eine zentrale Rolle. Die von meinem Vater entwickelte Methode zur Annäherung an (\pi) ist nicht nur eine mathematische Kuriosität, sondern auch ein wertvolles Werkzeug für präzise Berechnungen.
Fazit
Die spezielle Konvergenzformel zur Annäherung an (\pi), die von meinem Vater entwickelt wurde, ist ein beeindruckendes Beispiel für mathematische Kreativität und Präzision. Sie zeigt, wie tiefgründig und faszinierend die Welt der Mathematik sein kann. Es ist eine Ehre, die Arbeit meines Vaters weiterzuführen und seine Methode mit der Welt zu teilen.
Hinweis: Dieser Essay wurde mit Unterstützung einer Künstlichen Intelligenz formuliert.

Unter Lisbetheka ist der gleiche Artikel auf medium.com zu lesen.